[拼音]:qidian
[外文]:singularity
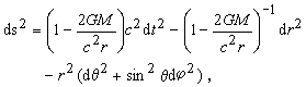
指时空度规张量 gμv中的奇点。奇点可以分成两种,一种是坐标奇点,一种是本性奇点。前一种可以通过坐标变换加以消除,后一种则不能。例如,对于标准表示的史瓦西度规:
式中r、θ、φ为球极坐标。r=2GM/c2即为坐标奇点,若用下列坐标变换就可消除:
式中T为一个任意常数。而r=0为本性奇点,因为该点时空的曲率趋向无限。霍金证明过广义相对论中的一个奇点定理。该定理说,只要物性不是太特别的,那么,由广义相对论场方程得到的解gμv必定含有奇点。
在广义相对论中,对奇(qí)点的研究是一个重要的课题。它既是能量条件最早的应用之一,也是全局方法在广义相对论中初试锋芒的范例。在宇宙未诞生之初,没有时间,没有空间,只有绝对真空。真空里面有真空零点能,真空零点能构成了奇点,奇点大爆炸生成了宇宙。
物理上把一个存在又不存在的点称为奇点。
空间和时间具有无限曲率的一点,空间和时间在该处完结。经典广义相对论预言奇点将会发生。在具有合理物质源的广义相对论的经典理论中引力坍缩情形中的空间-时间奇性是不可避免的,在一定情形下奇点必须存在——特别是宇宙必须开始于一个奇点。 但由于理论在奇点处失效,所以不能描述在奇点处会发生什么。
作为一个世界的发生之初,它应该具有所有形成宇宙中所有物质的势能,所以它是无形的。同时我们还可以想象,在某一点上宇宙奇点的这一势能平衡被打破,于是乎能量便不断转换为物质,而经过若干年而形成了我们的宇宙---物质与能量的共生体。
然而我们不能想象的出的是什么东西引发了这一奇点势能平衡的被破坏。
奇点是没有大小的“几何点”,就是不实际存在的点,这是很令人难于理解的。令人难于理解的还有,没有大小的奇点物质竟然是能级无限大的物质。这些是同我们现有的理论和观念不相合的。
物理学上面的奇点,多见于描述黑洞中心的情况。此时因为物质在此点密度极高,向内吸引力极强,因此物质压缩在体积非常小的点,此时此刻的时空方程中,就会出现分母无穷小的描述,因此物理定律失效。奇点是天体物理学概念,认为宇宙刚生成时的那一状态.
引力奇点(Gravitational singularity)是大爆炸宇宙论所说到的一个“点”,即“大爆炸”的起始点。该理论认为宇宙(时间-空间)是从这一“点”的“大爆炸”后而膨胀形成的。奇点是一个密度无限大、时空曲率无限高、热量无限高、体积无限小的“点”,一切已知物理定律均在奇点失效。
我们熟知的物理学定律失效的地点。奇点一般被看成点,但原则上它们可以取一维的线或甚至二维的膜的形式。按照广义相对论的方程式,只要形成了一个无自转的史瓦西黑洞,该黑洞事件视界内部的物质必然在引力作用下塌陷成一个密度无穷大的点,即奇点(罗杰·彭罗斯)。宇宙从大爆炸开始的均匀膨胀就是这种黑洞坍缩的镜像反转,意味着宇宙诞生在一个奇点中。
在以上两种情况下,方程式都没有考虑量子理论。当我们处理的物体小于普朗克长度,或时间短于普朗克时间时,已知的物理学定律,包括广义相对论,看来真会失效。这意味着,在那样的尺度上,合情合理的设想将是,向奇点坍缩的物质受到量子过程的影响,有可能‘反弹’而转为向外膨胀到另一组维度中去。有人主张,大爆炸‘奇点’实际上就是这样一种反弹。
加州理工学院的理论物理学教授基普·桑尼把量子奇点说成是引力将空间和时间彼此‘分离’的地方,然后再将时间概念和空间明确性一一破坏,留下来的是一个任何东西都可能从中出现的‘量子泡沫’(《黑洞和时间翘曲》)。奇点——尤其是与自转黑洞和裸奇点(如果存在的话)相关联的奇点——甚至可能容许实现时间旅行。
霍金和英国数学家彭罗斯所提出的奇点是什么?在20世纪之前,人们一直默认,宇宙是静止的。即使牛顿的万有引力定律已经说明,不同的物体之间会相互吸引,但人们还是发明出了各种各样的说法,来维护宇宙静止的设想。
甚至连爱因斯坦都在宇宙静止的问题上栽了跟头,爱因斯坦在1915年就发表了广义相对论,提出时空是可以弯曲的,根据他的方程,宇宙并不是静止的。但是爱因斯坦认为,这肯定是有什么地方弄错了,所以就在自己方程里强行添加了一个宇宙常数,这样根据方程看来宇宙就是静止的了。
但20世纪20年代,科学家在观测其他恒星时发现,很多恒星都发生了一种叫做“红移”的现象,意思就是说,这些恒星都正在远离地球。本来人们以为,这些恒星的运动只是随机的,可能有些恒星离我们越来越远,有些恒星离我们越来越近。但到了1929年,美国天文学家埃德温·哈勃,就是用他的名字命名了哈勃望远镜的那位天文学家,他发现,绝大部分恒星都是在远离地球的,而且,这些恒星离地球越远,它们离开的速度也就越快!
这能说明什么呢?你想象一下啊,假如你拿一个气球,然后在气球表面的不同位置画上几个点,接着给这个气球吹气,随着气球越吹越大,你画的那几个点,也会离得越来越远,而且,两个点离得越远,它们相互远离的速度也就越快。这个气球,其实就相当于我们的宇宙,气球上的点,就相当于地球和其他恒星,绝大部分恒星都离地球越来越远,这就说明,我们的宇宙,正在不断地膨胀。爱因斯坦在得知这个观测结果后才发现,自己方程里加的那个宇宙常数,完全就是多余的,宇宙不是静止的,而的确就是在膨胀的。所以爱因斯坦后来说,宇宙常数是他一生中犯下的最大的错误。
发现了宇宙膨胀之后,科学家们就以爱因斯坦的广义相对论为基础,找出了一个新的模型,来描述这个膨胀的宇宙,这就是弗里德曼模型,因为它最早是一位叫亚历山大·弗里德曼的科学家提出的。科学家通过计算就发现,在弗里德曼模型中,如果我们把时间往前推,那宇宙就会收缩,如果一直倒推到150亿年前,那么所有的星系之间的距离就会变成0,就好像是整个宇宙被紧紧地挤压成了一个点。这个点,就被称为奇点,它就是宇宙时空的开端。