[拼音]:zhangliang fenxi
[外文]:tensor analysis
微分几何中研究张量场的微分运算的一个分支。它提供了微分几何研究中的一种重要工具。黎曼几何就是在张量分析的基础上发展起来的。
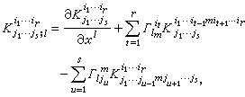
在了解了张量的定义及其代数运算后,人们自然地要对张量场的微分进行研究。然而,将 (r,s)型张量场在局部坐标系下的分量求导后一般并不能得到一个(r,s+1)型张量场。为了能得到一个(r,s+1)型张量场,就必须在普通导数的基础上加上一定的补偿项。设 (r,s)型张量场K的分量为
,令
式中Г
称为联络系数,它在坐标变换xi=xi(塣)下的变换规则是
。
于是
满足(r,s+1)型张量的变换规则
也把
记为
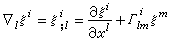
,因此墷l是一个算子,它把(r,s)型张量场K变成一个(r,s+1)型张量场墷K,称墷K为张量场K的协变微分,称墷lK为K关于变量xl的协变导数。例如,对反变向量(即一阶反变张量)场
,
,
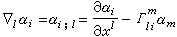
对协变向量场(即一阶协变张量场)
,
,
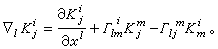
对一阶反变、一阶协变张量场
,
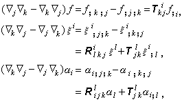
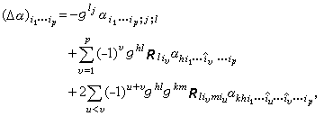
一般地说,算子墷k与墷l不可交换,墷k墷l与墷l墷k的差与联络的曲率、挠率有关。由此可导出一系列有用的恒等式,如里奇恒等式等,这些恒等式及各种协变导数之间的相互关系就形成了张量分析的主要内容。例如当ƒ,ξ,α分别为数量场、反变向量场及协变向量场时,它们满足下列关系:
式中
分别是联络Г
的挠率张量和曲率张量。特别,当挠率为零时,有
称这些公式为里奇恒等式。
在黎曼流形中联络Г
常取为列维-齐维塔联络,这时,Г
就是第二类克里斯托费尔记号。
,
式中gij是黎曼度量张量的分量。当欧氏空间中采用笛卡儿直角坐标系时,{
}=0,这时协变微分就化成为普通微分。
微分几何中一些重要的微分算子在局部坐标系下可用协变导数表达出来。如向量场
的散度为
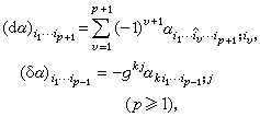
,
式中g=det(gij)。如α为p形式,则α 的外微分dα及伴随外微分δα分别为
式中“∧”表示缺掉相应的指标。因而拉普拉斯算子Δ=dδ+δd的表示式为
式中
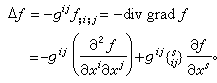
。当p=0时,即对数量场ƒ,有
作用在数量场ƒ上的算子
称为第二类贝尔特拉米微分算子。有Δ2ƒ=-Δƒ。作用在数量场ƒ上的第一类贝尔特拉米微分算子Δ1为
。