[拼音]:shengwumo
[外文]:biological membrane
细胞、细胞器和其环境接界的所有膜结构的总称。生物中除某些病毒外,都具有生物膜。真核细胞除质膜(又称细胞膜)外,还有分隔各种细胞器的内膜系统,包括核膜、线粒体膜、内质网膜、溶酶体膜、高尔基器膜、叶绿体膜、过氧化酶体膜等。生物膜形态上都呈双分子层的片层结构,厚度约5~10纳米。其组成成分主要是脂质和蛋白质,另有少量糖类通过共价键结合在脂质或蛋白质上。不同的生物膜有不同的功能。质膜和物质的选择性通透、细胞对外界信号的识别作用、免疫作用等密切有关;神经细胞膜与肌细胞膜是高度分化的可兴奋膜,起着电兴奋、化学兴奋的产生和传递作用;叶绿体内的类囊体膜与光合细菌膜、嗜盐菌的紫膜起着将光能转换为化学能的作用,而线粒体内膜与呼吸细菌膜则能将氧化还原过程中释放出的能量用于合成腺苷三磷酸 (ATP);内质网膜则是膜蛋白、分泌蛋白等蛋白质及脂质的生物合成场所。因而,生物膜在活细胞的物质、能量及信息的形成、转换和传递等生命活动过程中,是必不可少的结构。
物理化学特性
脂质的多形性生物膜的基质是极性脂质:磷脂、胆固醇和糖脂。其分子形态包括一个亲水性的极性头部和疏水性的脂肪酰链尾部。这种两亲性特性维持了膜结构的稳定性。亲水性头部朝向水相,疏水性尾部避水彼此聚集,这种作用称为疏水相互作用。脂质分子的双分子层排列实质上是一种熵的效应,满足热力学的稳定性要求,是溶液中氢键、分子间的范德瓦耳斯力、色散力等作用的综合结果。具有两条疏水性尾巴的磷脂分子在水相中彼此形成稳定的双分子层;对于只有一条疏水性尾巴的去垢剂、溶血磷脂等两亲性分子,则形成微团的结构;而那些尾部截面积大于头部的磷脂,则往往能形成另一种相──六角形Ⅱ相(HⅡ相)(图1)。
就形成双分子层的“脂质-水”系而言,根据浓度、温度、溶液中离子种类和pH等,又会形成Lα(脂肪酰链呈液状自由运动的片层)、L
'(脂肪酰链呈直伸状且和膜面成一定倾角的片层)、L
(脂肪酰链呈垂直于膜面的直伸状片层)、P
'(膜面呈波纹弯曲的片层)等各种相。 生物膜的脂质组成种类繁多,而且,还包含一定数量的胆固醇,所以“相”的类别多而复杂。
脂肪酰链中的C-C单键可以旋转,产生旋转异构体。因为受到邻近基团的空间阻碍,旋转不是所有角度都能进行的。反式构象时系统的位能最小,性质最稳定;其他角度时位能都较高。一种几率较大的形式是:旋转120°后的扭转式构象。对于正丁烷,反式转为扭转式的位垒约 2.4千卡·摩尔。因而,低温时双分子层中脂肪酰链呈全反式的“僵直”状态,温度升高后链变得“柔软”。这样的转变过程不是渐行的,而是在某个温度时发生突变,该温度Tc称之为相变温度。例如DMPC(豆蔻酰磷脂酰胆碱)的Tc为23℃,DPPC(棕榈酰磷脂酰胆碱)的Tc为41℃。低于Tc时的双分子层结构称为固相或晶体相(L
'、L
);高于Tc时称为流动相或液晶相(Lα)。用激光拉曼光谱等方法确认了对于DPPC分子,L
'-Lα相变时每条脂肪酰链大约平均新形成 6.5个扭转式键。从固相转变到流动相是个吸热的过程,相变的焓近似等于扭转式异构化所需能量与破坏相邻脂肪酰链之间的范德瓦尔斯力所需能量和脂质头部基团周围有序溶剂去结构所需能量的总和。如DPPC双分子膜,该焓值约为8.7千卡·摩尔。影响脂质分子Tc的主要因子是:
(1)脂肪酰链的长度(长度越长,Tc越高);
(2)脂肪酰链的饱和程度(饱和度越高,Tc越高);
(3)脂质头部基因的种类(如,头部较小的PE(磷脂酰乙醇胺)和PC相比,Tc要高20多度。
分相在多成分脂质系统中出现两相或更多相混合共存的状态。如在一个相当的温度区间内,固相和流动相同时存在于膜中的不同区域。分相时会影响其中膜蛋白的分布:蛋白质总是排斥于固相之外。除温度外,还有其他一些分相因子。如膜中有负电荷脂质时,介质中pH、离子种类 (特别是Ca2+)也会引起分相。L
'-Lα 两相共存时,脂质双分子层的压缩率及延伸率提高,随着脂质密度涨落的出现,较大程度地提高了膜对物质的通透性。依据脂质种类和条件,也可在膜上出现双分子层和HⅡ等其他膜结构共存的分相状态。
生物膜的结构
流动镶嵌模型30年代以来,先后有许多模型用来阐述膜的结构(见细胞膜)到现在能较好地解释有关膜的各种测定数据的是1972年,S.J.辛格和G.L.尼科尔森提出的生物膜流动镶嵌模型。该模型首先根据疏水相互作用明确了双分子层中的基质是脂质,蛋白质或者靠静电相互作用结合在脂质的极性头部(外周膜蛋白),或者镶嵌在双分子层的疏水性区域(内在性膜蛋白)──此即膜的镶嵌特性。该膜型的另一要点是指出了膜的流动特性。正常生理条件下,整个脂质双分子层构成液晶状态的基质,不仅是脂质分子,蛋白质分子也处于不停的运动状态。温度、胆固醇等对膜的流动性有较大的影响。此外,脂质和蛋白质在生物膜的内、外两侧分布不对称,膜蛋白和脂质有相互作用如不少膜结合酶、抗原等都需要脂质(常是一定类型的脂质)才能表现出活性。流动镶嵌模型在某些方面还不够完善,如忽略了无机离子和水所起的作用等。
膜的流动性脂质分子在膜中的运动形式主要有:
(1)脂肪酰链C-C键的“反式-扭转式”异构化;
(2)绕整个分子轴的旋转扩散;
(3)在膜平面上的侧向扩散;
(4)脂肪酰链的片断运动;
(5)内、外层分子的翻转运动。人工膜中这种运动的几率非常小,某些生物膜中有一定几率。
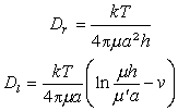
膜蛋白的运动,主要是整个分子的旋转扩散及侧向扩散。此外,还存在片断运动的形式。P.G.萨夫曼和M.德尔布吕克用流体动力学方法定量表达了膜蛋白在膜上随机扩散的速率:


式中Dr为旋转扩散系数,Dl为侧向扩散系数,k为玻耳兹曼常数,T为绝对温度,μ为膜中粘滞度,μ '为外液介质的粘滞度,a为圆柱状膜蛋白的半径,h为膜的厚度,ν为欧拉常数(0.5772)。
定量测定膜流动性的方法主要有:
(1)自旋标记法,从电子自旋共振波谱可计算出膜中标记分子的旋转相关时间(τ),但仅适用于快速运动(10-l1s<τ<10-9s)。也可从波谱算出和脂质分子平均取向有关的参数:序参数。用饱和转移电子自旋共振波谱法则能使检测的时程扩展到10-3秒,适于对膜蛋白运动的测定。
(2)荧光偏振法,从荧光探剂在膜中荧光的各向异性,可探测膜中的微粘滞度;而从荧光偏振的瞬态动力学则可直接测知标记分子的旋转相关时间。用闪光光解法,利用三重态荧光探剂的长寿命激发态,则能测定膜蛋白的旋转扩散。
(3)荧光漂白恢复法,该法用以检测蛋白质、脂质分子的侧向扩散运动,适用范围是10-12cm2·s-1)<DL<10-7cm2·s-1=。
膜蛋白的限制性运动在重建膜上,许多膜蛋白的测向扩散系数都在10-8~10-9cm2·s-1范围,和Saffman-Delbrück公式算出的理论值相符。但在生物膜上,不少膜蛋白运动很慢,甚至几乎不能运动。如红细胞膜上的带3蛋白,DL=3.8×10-l1cm2·s-1)(26℃);细菌视紫红质在嗜盐菌的紫膜上呈晶格排列,不能运动;上皮细胞类的极性细胞,其质膜的顶面区域和基底面区域上的膜蛋白种类不一样,因“紧密联结”的阻隔而不能扩散相混;LDL 受体等受体蛋白集中在特定的质膜区域──被膜穴,不能自由扩散。这些情况根据流动镶嵌模型难以解释。目前,对红细胞膜的情况有了较明确的说明:带3蛋白通过锚定蛋白 (ankyrin)和膜内侧的收缩蛋白、肌动蛋白及带4.1蛋白等组成的网络结构相联系,正是这些膜内侧的细胞骨架蛋白限制了带 3蛋白的运动(图2)。此外,尚有蛋白质彼此凝集假说、“陷阱”模型以及膜结构特殊性因素等其他解释。
生物膜的非双分子层结构
脂质双分子层是膜的基本结构,但也可能存在其他的非双分子层结构。用31P-NMR、冰冻断裂电镜术、X射线衍射等方法都表明,一些尾部截面积大于头部的脂质或带负电的脂质在一定的温度、pH、离子环境(特别是Ca2+)等条件下能形成 HⅡ相(图1)。从一些代谢活性高的内质网、线粒体、细菌质膜乃至人红细胞膜抽提出的脂质构成的膜结构中,在一定条件下都可出现HⅡ相的分子排列。活体情况下虽无HⅡ相的确切证据,但可以观察到从L相向 HⅡ相转变的过渡相──各向同性相。HⅡ相可能在膜融合、脂质分子的翻转运动及某些物质的跨膜运输等过程中起着重要的作用。
功能
物质运输物质的跨膜运输大体可分为被动运输、主动运输和膜动运输 3大类(见生物膜离子通道)。
被动运输包括单纯扩散及促进扩散,两者都是在浓度梯度(或更广义地在电化学位梯度)的驱动下,向平衡态进行的跨膜扩散运动。用脂质分子旋转异构化所导致的“空腔”的形式和传播,可部分解释小分子、脂溶性物质的跨膜单纯扩散;而用膜中蛋白质“通道”的存在则能解释生物膜中单纯扩散的高效性,如大肠杆菌外膜中脂蛋白形成的通道、细胞之间“缝隙联结”处蛋白质形成的通道。促进扩散是膜上载体蛋白通过与被运输物质的可逆结合而促进物质的跨膜运输,表现出比单纯扩散高得多的运输速率和选择性。人红细胞膜对葡萄糖的运输、氧化磷酸化的解偶联剂对H+的运输及一些离子载体对特定离子的运输等,都属于促进扩散之列。缬氨酶素对K+的运输、尼日利亚菌素对K+/H+的交换运输都属于“移动型离子载体”。哺乳类细胞的运输系统中,膜上载体蛋白要比缬氨霉素等大得多,往往嵌入整个膜中,因此不能在膜的两侧之间来回移动。此时形成门控通道,靠蛋白质构象转换跨膜运输物质;而门控特性保证了和被运输物质的选择结合性。红细胞膜上带3蛋白对HC婣/Cl-的交换跨膜扩散即是一个很好的例子。
主动运转是物质逆着电化学位梯度跨膜运输的过程,必须有其他能量偶联输入。例如,动物细胞膜上的 Na+、K+-ATP酶靠ATP的水解,逆浓度梯度驱动Na+从细胞内向外运输,同时使K+向细胞内运输,从而维持正常生理条件下细胞内、外的 Na+、K+浓度梯度。主动运输的能量来源除 ATP外,还可来自光能、氧化磷酸化释放的能量、质子电化学位梯度以及Na+梯度等。主动运输中尚有一种在运输过程中被运输物质在膜上被转化的“基团转移”。如膜上γ-谷氨酰转肽酶使氨基酸转化成二肽,再进入细胞;细菌磷酸烯醇丙酮酸转磷酸化酶运输系统使糖转化成磷酸糖而进入细胞。
膜动运输是借膜的变形将大分子、配体、菌体等物质摄入细胞而将蛋白质、多糖等分泌出细胞的过程。其中通过膜上受体中介的内吞作用是个很重要的细胞学过程。以细胞摄入胆固醇为例:体液中的LDL(低密度脂蛋白)先和质膜上被膜穴处的LDL受体结合,然后被膜穴内凹形成被膜囊泡,在细胞内脱被膜后形成内含体,内含体很快酸性化使配体和受体解离,进而分裂成带配体及带受体的囊泡,带配体的囊泡以后和溶酶体融合。此时,LDL被水解,释放出胆固醇供细胞之用。带受体的囊泡则和质膜融合,使受体再次被利用。铁传递蛋白、胰岛素、上皮生长因子、许多毒素和病毒等亦是通过这一途径进入细胞的(见内吞与外排)。
能量转换虽然ATP也可在可溶性酶系统中合成,但极大多数是产生在一些特定的膜上,它们称为“能量转换膜”──线粒体内膜、类囊体膜以及细菌、蓝绿藻等原核细胞的质膜。尽管这些膜在进行 ATP合成及离子运输过程中最初的能源是各种各样的,但机制却很相近。1961年P.米切尔提出“化学渗透偶联”假说,认为膜两侧H+浓度差所贮存的渗透能量能够用来产生 ATP。这一假说将膜上电子传递、离子运输及 ATP合成这三方面统一起来解释。对于线粒体,细胞呼吸时电子传递过程中游离出来的能量,以内膜两侧液相间H+的电化学位梯度(Δ
)的物理能量贮存。Δ
使膜上的H+-ATP 酶逆转合成 ATP。植物的光合作用则是光能→渗透能→化学能。Δ
包括两部分:H+的浓度差ΔpH和膜两边电位差Δψ,其关系为:
Δ
=F·Δψ-2.303RTΔpH
式中F是法拉弟常数。若至少2克离子 H+的Δ
合成1克分子ATP,则有关系式:
式中ΔP称为质子动力。
Δ
除能用以合成 ATP外,还能作为主动运输能量、驱动细菌鞭毛的运动、产热,乃至固氮、细胞内蛋白质的运输及分泌、细胞内pH的调节等(见线粒体、叶绿体)。
人和高等动物借助各种感受器与内外环境发生联系,这个过程和膜的可兴奋性分不开。神经细胞膜上的Na+、K+-ATP酶和Na+通道、K+通道等离子通道造成跨膜的离子浓度梯度,以及膜兴奋时Na+、K+等离子跨膜通透速率的改变,这些过程导致电兴奋延膜传递(见兴奋、神经冲动)。
细胞之间除通过物理接触直接通讯外,还能靠局部化学介体(神经生长因子、组胺等)、激素及神经递质等化学信号分子进行间接的信息传递。如肽类激素与动物细胞质膜外侧的特异性受体结合后,改变了后者的构象,在膜上作扩散运动时通过膜上G蛋白的偶联,引起膜内侧腺苷酸环化酶发生构象变化,于是催化ATP生成环腺苷酸(cAMP)。cAMP作为第二信使,激活一系列细胞内的蛋白激酶,导致众多的细胞学反应。
质膜上的钙联受体和相应的配体结合后,活化了膜上的磷脂酶C,使存在于质膜内层中的磷脂酰肌醇-4,5-二磷酸水解,形成三磷酸肌醇和甘油二酯。而后,三磷酸肌醇引起细胞内的Ca2+库(主要是内质网)释放Ca2+,于是产生一系列 Ca2+所触发的生化及细胞学反应。另一方面,甘油二酯活化质膜上的C激酶(C表示需要Ca2+来活化),使其他的一些酶磷酸化,从而产生类似cAMP的各种第二信使的效应。C激酶也能够活化膜上的 Na+/H+交换运输载体,提高细胞溶质中的pH,从而在刺激细胞生长、分化中起重要作用。
人工膜
生物膜的组分繁多,为便于研究,往往采用单一或几种脂质组成的各种人工膜结构:单分子层膜、累积膜、脂质体、平板双分子层脂膜等。另外,也可将蛋白质嵌入后组成重建膜。这些膜结构泛称“人工膜”。利用人工膜可对膜的各种物理化学特性进行深入研究。人工膜已在工程实际中得到应用,如从海水等溶液相中高效地分离和浓缩物质、利用能量转换膜原理开辟高效无污染的新能源、用作肾脏病患者的透析膜以及用于临床诊断和治疗等。
脂质体
脂质体是内部为水相、由脂质双分子层形成的闭合囊泡。其种类主要有:
(1)小单片层囊泡,大小范围为0.02~0.05微米;
(2)多片层囊泡,大小范围为0.2~10微米;
(3)大单片层囊泡,大小范围为0.2~10微米。除了大小、脂质成分、荷电性外,脂质体制剂尚有两个重要的参数:俘获容积和包裹效率。前者指一定量脂质体所包封的容积(摩尔/升);后者指脂质双分子层所包裹的水相所占的比例(%)。脂质体作为药物载体已用于医药临床。脂质体的水相或疏水相中包封药物后能用于癌症、溶酶体贮积病、寄生虫病、体内重金属积聚、真菌感染、关节炎等多方面疾病的治疗。这种截体系统在体内有稳定、毒性小、药物缓慢释放等优点。若膜表面加以修饰(结合抗体或特异性糖链等)或研制敏感性脂质体(在外界特定条件下膜通透性剧增的脂质体),则能使脂质体在体内具有靶向性。脂质体也可作为真核细胞的基因载体用于生物技术领域。
平板双分子层脂膜在分隔两个水相的隔板中间若有1小孔(面积一般小于1平方厘米,则小孔处的脂滴会逐渐形成厚度只有双分子层厚的膜,此即平板双分子层脂膜(BLM)。在BLM形成过程中,脂滴厚度逐渐变薄,此时从显微镜中看到膜的颜色由各种彩色变到黑色,故BLM又称黑膜。这种人工膜最适于膜电特性的测量研究。膜中嵌入离子通道等膜蛋白后,可方便地根据测量到的电特性研究通道特性、离子通透特性、膜融合特性等。若BLM 中嵌入植物、动物以及细菌的对光敏感的色素活性物质,则可作为色素膜进行模拟研究,因为电化学测定法的灵敏度相当高,所以也可根据膜的电特性和通透特性的变化来检测环境中毒物的存在及其对机体作用的原初机制。