[拼音]:yuán zhōu lǜ
[外文]:ratio of the circumference of a circle to the diameter
欧几里得平面上圆周与直径的长度之比。它是人类认识到的第一个特殊常数,是人类在测量圆周长和圆面积的各种情况中逐步认识的。古希腊欧几里得的《几何原本》中已提到圆周率是常数。中国古代早有“径一周三”的记载,即认为圆周率是常数了。自1737年L.欧拉用π表示圆周率后,π就成为一个通用符号。此后也通用由圆半径r和圆周率π求圆周长的公式:C=2πr。关于圆面积与圆周率的关系人类也很早就知道了。中国古代数学专著《九章算术》第一章《方田》中求圆田面积,“术曰:半圆半径相乘得积步”。即以半圆周πr和半径r为长和宽的矩形面积就是所求的圆面积S,这正是圆面积公式S=πr2。
圆周率的古典方法和古代值数学史上曾采用过圆周率π的各种近似值,现存于世的有关圆周率的最早文字记载是公元前1650年左右在古埃及产生的莱因德纸草书, 其中取
。这看来是一个经验值。古希腊阿基米德约在公元前 240年从计算圆内接和外切正多边形周长来确定圆周率的上下界。这是第一个计算π值的方法,后人称为古典方法。阿基米德从正 6边形开始,逐步计算到正96边形周长而得到
。他取两位小数确定 π=3.14。约公元150年,C.托勒密在《数学汇编》中给出
。这是从该书中记载的圆心角所对弦的长度推算出来的。印度数学家阿耶波多第一约在530年采用π=3.1416,这可能是从希腊传入的,也可能是他计算了正384边形的周长。1150年前后,婆什迦罗第二给出 π的常用值
,“非准确值”
,“准确值”
,他还给出与托勒密相同的另一个π的值
。阿拉伯的卡西约在1427年在他的《圆周论》中计算正 3×228边形周长得出精确到17位数字的π=3.1415926535898732。
中国古代《九章算术》正文用“径一周三”的古率。西汉末刘歆为王莽造铜斛(公元9年)采用π=3.1547。东汉张衡(78~139)采用
计算球体积。三国吴人王蕃(215~257)采用
。这些都是经验值。魏人刘徽在注《九章算术》时提出与阿基米德古典方法相类的“割圆术”。他从圆内接正6边形周长是直径的3倍开始,依次割圆,成倍增长内接正多边形的边数。求得内接正2n边形边长l
与圆半径r及内接正n边形边长ln的关系:
他还得出圆面积S和圆内接正n边形面积Sn,正2n边形面积S2n满足下列不等式:
。由此得到圆周率的上下界。他取半径为1尺,由圆内接正6边形面积开始,逐步算得正96边形和正192边形面积为
。因此,取n=96,有
。
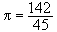
刘徽“弃其余分”,取π=3.14。他还说:“割之弥细,所失弥少,割之又割,以至于不可割,则与圆合体而无所失矣。”这说明他已知求更精确的 π值的方法,并具有极限的思想。刘徽之后尚有皮延宗在445年前后取π=22/7。南北朝时的祖冲之提出圆周率精确到 8位数字的上下界:3.1415926<π<3.1415927。他还提出圆周率的“约率”π=22/7和“密率” π=355/113。后者在数学史上是由他第一个提出的。上面提到的卡西在 800多年后才做出超过他的工作。
在西欧,文艺复兴后,才有人在圆周率π值上做出达到和超过祖冲之的工作。第一个得到祖冲之密率355/113的是德国人V.奥托(1573)。法国F.韦达用古典方法计算到正3×217边形求π值到10位数字(1579)。荷兰L.范.科伦在1596年求到小数点后20位,才超过卡西。
圆周率是无理数和超越数J.H.朗伯在1767年证明圆周率π是无理数,即不能表示成有理分数,因而不会是有限小数或循环小数。F.von林德曼在1882年证明π是超越数,即不是任何一元有理系数多项式的根。从而解决了古代三大几何难题之一──化圆为方不可能用尺规作图作出。
圆周率和角的弧度制欧拉在1748年出版的《无穷小分析引论》中提出三角函数是对应的函数线与圆半径的比。他同时引入角的弧度制,即取圆半径作为单位,圆心角用其所对的弧长表示。这时平角所对的半圆周长是π。从此以后圆周率π就作为相当于180°的角度值。
圆周率的其他方法和近代值韦达在1593年把
表示成无穷乘积 
英国J.沃利斯在1655年给出
,1658年由W.布龙克把它变成连分数
,朗伯特就是利用它证明 π是无理数的。
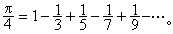
苏格兰J.格雷果里在1671年得出无穷级数 
G.W.莱布尼茨在1673年由此得出收敛极慢的级数 
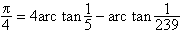
J.梅钦利用格雷果里级数的公式
计算π值到100位小数(1706)。W.香克斯在1873年利用梅钦公式计算π值到707位小数,以后长期保持这个记录。但在1946年D.F.弗格森发现香克斯的第 528位错了。他后来和美国J.W.小雷恩在1948年联合发表 808位准确的π值。
电子计算机发明以后,π 值的计算得到飞速的发展。在1949年计算到2037位,1959年计算到16167位,1967年计算到50万位,1974年计算到100万位,1981年计算到200万位,1983年计算到223(800多万)位。
2019年3月14日,谷歌宣布圆周率现已到小数点后31.4万亿位。
2021年8月17日,美国趣味科学网站报道,瑞士研究人员使用一台超级计算机,历时108天,将著名数学常数圆周率π计算到小数点后62.8万亿位,创下该常数迄今最精确值记录。
圆周率有关的古代著作1、一块古巴比伦石匾(约产于公元前1900年至公元前1600年)清楚地记载了圆周率=25/8=3.125。
同一时期的古埃及文物,莱因德数学纸草书(Rhind Mathematical Papyrus)也表明圆周率等于分数16/9的平方,约等于3.1605。
2、埃及人似乎在更早的时候就知道圆周率了。英国作家John Taylor(1781—1864)在其名著《金字塔》(《The Great Pyramid: Why was it built, and who built it》)中指出,造于公元前2500年左右的胡夫金字塔和圆周率有关。例如,金字塔的周长和高度之比等于圆周率的两倍,正好等于圆的周长和半径之比。
3、公元前800至600年成文的古印度宗教巨著《百道梵书》(Satapatha Brahmana)显示了圆周率等于分数339/108,约等于3.139。
4、约公元前6世纪中叶,圣经列王记上7章23节,记录π=3。
5、中国最古老的天文学和数学著作《周髀算经》记载“径一而周三”。
6、中国西汉经学家刘歆的《三统历谱》计算出圆周率为3.1547。
7、古罗马作家、建筑师和工程师维特鲁威著《建筑十书》记录π=3.125。
8、印度数学家及天文学家阿耶波多著作《阿里亚哈塔历书》记录π=3.1416。
9、印度数学家 ,天文学家婆什迦罗第二著《历算书》,指出π=3.14156。
10、阿拉伯数学家吉亚斯丁·贾姆希德·麦斯欧德·阿尔-卡西著作《圆周论》中的圆周率,是由圆内接正四边形算起,依次使边数加倍,准确到小数点后16位。
圆周率有关的数学家阿基米德、维特鲁威、刘歆、张衡、王蕃、刘徽、祖冲之、阿耶波多、婆罗摩笈多、花拉子米、婆什迦罗第二、斐波那契、Madhava、Jamshid Masud Al Kashi、Valentinus Otho、弗朗索瓦·韦达、Adriaan van Roomen、鲁道夫·范·科伊伦、威理博·司乃耳、牛顿、Abraham Sharp、关孝和、John Machin、William Jones、De Lagny、建部贤弘、Kamata、莱昂哈德·欧拉、松永良弼、约翰·海因里希·兰伯特、欧拉、Jurij Vega、阿德里安-马里·勒让德、Rutherford、Zacharias Dase及Strassnitzky、里特韦斯纳、冯纽曼、梅卓普利斯、Thomas Clausen、Lehmann、William Rutherford、Richter、William Shanks、Lindemann、D. F. Ferguson、G.E.Felton、Francois Genuys、金田康正、Bill Gosper、David H. Bailey、楚诺维斯基兄弟、金田康正、高桥大介、法布里斯·贝拉、近藤茂、IBM“蓝色基因”超级电脑、IBM NORC(计算机)、ENIAC(计算机)
- 参考书目
-
- 李俨、杜石然著:《中国古代数学简史》,第1版,中华书局,北京,1963。
- 梁宗巨著:《世界数学史简编》,第1版,辽宁人民出版社,沈阳,1980。
- H.Eves,Introduction to the History of Mathematics, 5th ed., Saunders College Pub.,Philadelphia, 1981.
- D.E.Smith,History of Mathematics, Dover,NewYork, 1958.