[拼音]:Huke dinglü
[外文]:Hooke's law
在弹性极限内,表示应力和应变之间的线性关系的定律。自然界中的任何物体都不是刚体,也就是说,任何物体在一定的外力作用下其质点之间的距离都会发生一定的变化,引起物体形状的改变。这种变化称为形变。如果把外力从物体上除去,物体的形变也随之消失,因而物体能恢复到它原来的形状。这种物体称为弹性体,相应的形变称为弹性形变。弹性形变的符号随着力的符号的改变而改变。例如,弹簧在拉力作用下伸长,在压缩力作用下缩短。实验指出,形变的大小Δx和作用力F成正比,即
Δx=kF, (1)
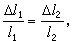
式中k是比例系数,由物体的材料性质决定。实验还指出,对于受纵向拉伸或压缩的两杆,其材料和截面积相同,但长度分别为 l1和l2,受力后若它们的绝对伸长分别为Δl1和Δl2,则只要比值
所施的力F便相同。此外,横截面面积S不同的杆,在相同的力F作用下,若杆愈粗(S愈大),则相应的形变
愈小。因此,对于伸长(或压缩)弹性形变而言,长度的相对变化
和单位面积上的力
成正比,即
(2)
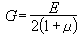
式中α称为弹性系数,由物体的材料性质决定,E称为弹性模量或杨氏模量。
S.D.泊松发现,受纵向伸长(或压缩)的杆必伴有横向的收缩(或膨胀),其值为με,系数μ称为泊松比,它表示纵向伸长和横向收缩之比。
实验还指出,受切应力作用的物体,其相对切应变γ和切应力τ成正比,即
(3)
式中
称为切变模量。在SI单位制中,E和G的单位为Pa,而μ 为无量纲量。
胡克定律首先是由R.胡克于1678年在“弹性能”或称“弹簧”这篇论文中提出的。胡克定律为弹性变形体力学的进一步发展奠定了基础。