普朗克,M.

图

近代伟大的德国物理学家,量子论的奠基人。1858年4月23日生于基尔。1867年,其父民法学教授J.W.von普朗克慕尼黑大学的聘请任教,从而举家迁往慕尼黑。普朗克在慕尼黑度过了少年时期,1874年入慕尼黑大学。1877~1878年间,去柏林大学听过数学家K.外尔斯特拉斯和物理学家H.von亥姆霍兹和G.R.基尔霍夫的讲课。普朗克晚年回忆这段经历时说,这两位物理学家的人品和治学态度对他有深刻影响,但他们的讲课却不能吸引他。在柏林期间,普朗克认真自学了R.克劳修斯的主要著作《力学的热理论》,使他立志去寻找象热力学定律那样具有普遍性的规律。1879年普朗克在慕尼黑大学得博士学位后,先后在慕尼黑大学和基尔大学任教。1888年基尔霍夫逝世后,柏林大学任命他为基尔霍夫的继任人(先任副教授,1892年后任教授)和理论物理学研究所主任。1900年,他在黑体辐射研究中引入能量量子。由于这一发现对物理学的发展作出的贡献,他获得1918年诺贝尔物理学奖。

普朗克早年的科学研究领域主要是热力学。他的博士论文就是《论热力学的第二定律》。他认为热力学第二定律不只是涉及热的现象,而且同一切自然过程有关。他提出自然界的过程可以分为两类:中性的(即可逆的)和自然的(即不可逆的)。自然过程的末态比其初态具有更大的优势,而中性过程的末态和初态却具有相同的优势。克劳修斯所引入的概念──熵,就是这种优势的量度。热力学第二定律的意义即在于它指出了自然过程的方向。他认为由于熵的极大值对应于平衡态,所以深入地研究熵,将会掌握关于物理和化学平衡的一切规律。

此后,他从热力学的观点对物质的聚集态的变化、气体与溶液理论等进行了研究。可是不久,他在一本欧洲当时传播不广的美国杂志《康涅狄格学院学报》上看到美国物理学家J.W.吉布斯早在1873~1878年间已发表过关于这些工作的论文而感到难过;同时又因未能说服F.W.奥斯德瓦尔德等人接受克劳修斯的见解,他很感到沮丧。

这期间,黑体辐射问题吸引了普朗克的注意。1860年基尔霍夫在研究空腔辐射时引入了绝对黑体这一概念。基尔霍夫指出:当一个物体和辐射场交换能量而处于平衡态时,在单位时间和频率区间(v+dv)内,这物体单位表面积发射的能量Ev和这物体对同一频率区间的辐射的吸收系数Av将只是温度T和频率v的函数,而与物体的其他特性无关,即

(1)

K (vT)就是绝对黑体的发射本领。基尔霍夫还指出:对于实验物理学家和理论物理学家来说,找到这个函数是一个重要任务。从此,许多实验物理学家开展了这方面的研究工作,不断改进实验设备和检测手段,逐步扩大了实验的温度范围和频率范围。

1870年,J.斯忒藩在总结实验观测的基础上提出,热物体所发射的总能量同物体的绝对温度T的4次方成正比。1884年L.玻耳兹曼把热力学和当时新出现的J.C.麦克斯韦的电磁理论综合起来,从理论上证明了斯忒藩的结论是正确的;并指出只有绝对黑体才严格遵从这个规律。他证明了对于一个有完全反射壁的空腔,它的发射本领同空腔内辐射密度ρ之间的关系为ρ=4πK/с,并进一步证明

(2)

式中σ 是一常数,后来被称为斯忒藩-玻耳兹曼常数。

1893年W.维恩发表了他的对黑体辐射的研究成果,即著名的维恩位移定律。1896年又提出一个辐射密度ρ的分布公式

(3)

这结果为当时以及随后几年的实验所证实,但是维恩立论的依据却不能使人信服。

普朗克正是在这个时候,把他的研究重点转移到黑体辐射理论的。1897~1899年,他发表了总题目为《论不可逆的辐射过程》的5篇论文,试图从研究一群可以辐射和吸收的谐振子与它周围的辐射场通过能量交换而达到平衡的情形入手,研究辐射的理论。他认为,对于理想化谐振子成立的理论,能普遍适用于任何系统。

普朗克首先用麦克斯韦的电磁理论证明,黑体辐射的分布ρ(vT)和谐振子系统的能量分布 U(vT)之间有

(4)

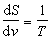
这样的关系。他分析了各种可能的分布定律,从而认为对于维恩分布可以定义谐振子的熵为

(5)

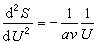
其中ab为常数,于是得到

。 (6)

由于avU都是正数,d2S/dU2就总是负数;这意味着当一个谐振子的能量偏离了它的平衡值时,它将回归到平衡值而使熵增加,这样平衡就和熵的最大值相对应了。普朗克这时认为,热力学和黑体辐射理论由此取得了一致,他并且从这个熵的定义推导出维恩分布。至此,普朗克看来已完全回答了基尔霍夫提出的挑战。

与此同时,实验技术有了很大的进展,1899年9月,柏林大学的O.R.陆末和E.普林斯海姆在向德国物理学会提出的一份报告中指出,在12μm到18μm波长范围内,他们的实验结果显然不符合维恩分布,随后柏林的H.鲁本斯和F.库耳鲍姆在他们的实验中把波长范围扩展到51.2μm,其实验结果明显地表明,在长波和高温的情况下ρ(vT)和绝对温度成正比。

普朗克了解这些实验结果后认为,如果他们的结果是正确的,那末对于大的 λT的值,谐振子的熵应满足

。 (7)

于是提出一个经验性的假定:

, (8)

式中a、с都是普遍的常数。两次积分后得

(9)

式中a‵=aс。利用热力学关系,最后得到

(10)

1900年10月,普朗克向德国物理学会报告了这个结果,并且得知它和最新的实验数据十分符合。

他明了必须在热力学和电磁学理论之外去寻求这现象的物理学理由,因为他这两个熵的定义都满足理论上的要求。在这以前,普朗克对玻耳兹曼的统计理论并不欣赏,但他曾负责编辑过他的老师和前任基尔霍夫文集的工作,因而对于玻耳兹曼理论的数学方面是很熟悉的。这时他接受了玻耳兹曼关于熵的统计诠释(S=klnW),并且应用了后者所用的组合计算方法。

普朗克发现当总能量由 P个不可分割的部分组成,E=,它分配于N个(N是一大数)谐振子的每一个的能量是零或 ε的整数倍,那么根据概率理论这些谐振子的组态数就是

(11)

因而由这N个谐振子组成的系统的熵

(12)

应用斯特令定理,平均于一个谐振子的熵

(13)

式(13)和上文的式(9)如此相似,只须令

这两式就完全一致了。普朗克用符号 h 代替 a‵并称之为作用量子,这就是如今大家知道的普朗克常数。他就这样求得黑体辐射的分布函数

(14)

当时普朗克并未注意到hv这个能量子的物理意义,只把它看作是为进行组合计算而引进的一个数学工具。另一方面他却极为重视常数h,他认为h和引力常数以及真空中的光速在自然科学中占有同等重要的地位,还曾建议用这三个与任何物质的属性无关的物理量作为自然单位制的基本量。可是物理学此后的发展显示了能量量子的重要意义,正是普朗克的这个工作第一次把能量的不连续性引入人对自然过程的更进一步的认识。普朗克常数h在一个物理过程中的作用是否可以忽略,也成了判断这个过程应当使用经典理论还是量子理论的标志。

普朗克是首先支持A.爱因斯坦发表狭义相对论的物理学家。他自己还发表过关于狭义相对论的论文。他从《物理学杂志》编辑部看到爱因斯坦的文章时,立即看出爱因斯坦文章的价值,他在柏林大学亲自主持了以爱因斯坦狭义相对论为主题的讨论会。但是当实验物理学家W.考夫曼根据他的实验结果怀凝爱因斯坦的理论时,普朗克最初认为由于从实验结果计算出的电子速度大于光速,还认为“对于实验观察结果的解释理论还有不足之处”。其后,1907年他根据新的实验结果断定“相对论占上风的可能性更大”。这场争论最后由于新的实验事实完全证实了狭义相对论的正确性而结束。但这一历史事实却显示出作为一位理论物理学家的普朗克对于实验观察如何的尊重。

自20世纪20年代以来,普朗克成了德国科学界的中心人物,与当时德国以及国外的知名物理学家都有着密切联系。1918年被选为英国皇家学会会员,1930~1937年他担任威廉皇帝协会会长。在那时期,柏林、格丁根、慕尼黑、莱比锡等大学成为世界科学的中心,是同普朗克、W.能斯脱、A.索末菲等人的努力分不开的。在纳粹攫取德国政权之后,掀起大规模的反犹浪潮时,德国科学界中的纳粹分子提出所谓德意志物理学以反对爱因斯坦和他的相对论以及其他犹太科学家。这时,普朗克和M.von劳厄等少数物理学家义正词严地为科学的尊严而斗争;他们因此受到纳粹宣传机构放肆的诬蔑和攻击。普朗克外境艰危,可以出走;但出于对祖国的热爱和眷恋,仍然决定留居国内。在那样环境中,他尽可能为受迫害的犹太籍科学家提供帮助和支持,以至希特勒曾说:如果不是想到普朗克年事已高,早该把他送进集中营了。1944年普朗克在柏林的住宅毁于空袭时,他的全部手稿和藏书以及他同许多科学家的往来信件同时被毁,这是科学界的重大损失。第二次世界大战后,德国科学家恢复了威廉皇帝协会,为了表示对普朗克的崇敬,把它改名为马克斯·普朗克科学促进协会;普朗克也参加了协会的重建工作。普朗克的一生经历了德意志帝国的鼎盛时期、两次世界大战、魏玛共和国和纳粹的兴起和覆灭。他亲身参与并经历了两个世纪交替时期物理学上的巨大变革。1947年10月4日在格丁根逝世。

普朗克著述甚多,《热辐射理论》和5卷本的《理论物理学导论》都有英文译本。1949年出版了《讲演与回忆》,1958年又出版了3卷本的《论文和演讲集》。