相平衡

相平衡词条主要介绍了基本概念、相、组分和组分数、自由度数目、相律、相图、单组分系统的相平衡、二组分系统的相平衡、完全互溶双液系的沸点、分馏原理、部分互溶双液系的溶解度、完全不互溶双液系的蒸气压和沸点、二组分系统的液固相平衡、二组分在固态时完全不互溶的系统、形成固溶体的二组分系统、三组分系统的相平衡、有一对部分互溶液体的三组分系统、三组分盐水系统相图等内容。

相平衡是在不同温度、压力和组成的条件下,化合物或混合物的各相之间的平衡关系,它可以确定组成与性质之间的定量关系,在盐湖的综合利用、合金的性能及其应用研究以及建筑材料性质的研究方面有广泛应用。

基本概念

系统中任何一个均匀的、且可以用机械方法分离出来的部分,称为一个相。因此,水、冰和水蒸气是一种物质的三个相。一个相不一定只含一种物质,所以一种溶液是一个相,各种气体能以任何比例混合成一个相,几种不同物质的固体混合起来所得的混合物系统(不包括固溶体),就有几个相。碳酸钙加热分解为氧化钙和二氧化碳,分解达平衡时,此系统中有两个固相,即碳酸钙和氧化钙,一个气相为二氧化碳。一个相不一定是连续的,它可以分裂成许多块晶体或许多液滴

组分和组分数

组分指已达成平衡的体系中各相的物质种类。一个单相系统的组分数是组成此系统的最少的物质数目,这几种物质的物质的量必须指定,然后才能组成这个系统。例如取55摩尔水、0.8摩尔氯化钠和0.3摩尔蔗糖组成一个单相系统,这个系统的组分数为3。一个单相系统的组分数并不一定等于此系统内的物质的种类数。例如有一个气相中含有五氯化磷PCl5三氯化磷PCl3和氯Cl2,且这三种物质处于化学平衡公式 符号,则这三种物质中任何一种物质的量均由另外两种物质的量来决定。此时系统的组分数为2。如果此气相中的PCl3和Cl2都是由PCl5分解而得,则PCl3的量必与Cl2的量相等,这三种物质中任何两种物质的量均可只由第三种物质的量来决定,于是此时此系统的组分数为1。综上所述,一个单相系统的组分数C为:

公式 符号   (1)

式中R为独立的化学平衡的数目;R′为其他限制条件的数目;K为物质种类的数目。

对于一个多相系统,可首先列出各相的组分,然后挑选每一个相的作为系统组分的物质,挑选时应使尽可能多的组分是尽可能多的相所共同有的,这样挑选出来的组分的总数目,就是此多相系统的组分数。例如有一系统由下列三个相组成:固相为固体物质氯化钠,液相中有水、氯化钠和乙醇,气相中有水蒸气和乙醇蒸气,则此系统的组分数为3。应该注意,在多相系统中,如果有化学平衡存在,那么用式(1)求出的组分数,应从中减去独立的化学平衡个数,所得的差值才是此多相系统的组分数。例如,固体物质氯化铵分解生成气态物质氨和氯化氢,达到平衡,按上述方法挑选得两个组分(即气相有一个组分,固相有一个组分)还应从中减去1(因系统中存在着一个化学平衡), 故此两相系统的组分数C=2-1=1。

自由度数目

一个相平衡系统的自由度数目,是为了确定系统中所有各相的强度性质时,在温度T、压力p和组成这些变量中,必须加以确定的变量的最小数目。

在一个只有水蒸气的系统中,必须同时确定此系统的温度和压力,才能确定此系统的全部强度性质,所以系统的自由度数目F=2。

在水和水蒸气平衡共存的系统中,只要确定温度或压力中任何一个变量,则另一个变量也随之而确定,所以此系统的自由度数目F=1。

相律

相律如下式所示:

FC-P+2       (2)

式中 P为平衡系统中的相的数目。相律是由J.W.吉布斯于1873~1878年提出的,广泛用于非均相系统的研究方面。

由相律可知,如果系统的组分数固定,相的数目愈大,则系统的自由度数目愈小。例如,在只含水蒸气的系统中,C=1,P=1,由式(2)得F=2。在水与水蒸气两相平衡共存的系统中,C=1,P=2,由式(2)得 F=1,即系统的自由度数目比上例减少了。若此单组分系统的相数再增加,即水蒸气、水、冰三相平衡共存,P=3,则由相律可知,F=0,即此系统没有可任意改变的变量,三相平衡共存的系统的温度和压力以及其他各项强度性质都已由系统本身自然确定了。F分别等于 0、1、2、3的系统各称为不变系统、单变量系统、双变量系统、三变量系统。

相律仅局限用于真正平衡的系统,在以上讨论中忽略了诸如表面张力、电场、磁场和重力场的影响。

相图

在不同条件下的相平衡情况应由实验来测定。这种实验结果可用图表示出来,即为相图。相图所描述的都是系统处于平衡状态的情况,相图是根据实验测定的数据作图而得,还不能从理论上准确地预测相图。

单组分系统的相平衡

单组分系统是一种纯物质,没有组成变量,只须考虑温度和压力两个变量。所有可能的相平衡关系均可用压力-温度图表示。

系统只有单相时,为双变量系统,在图1

图

中用区来表示;当系统中两相平衡共存时,在图1中用线来表示;当系统中有三个相平衡共存时,为不变系统,在图1中用点来表示。如果系统的温度和压力的点落在AOC区内时,此系统全部是水;如果点落在BOC区或AOB区内时,系统分别为冰或水蒸气。若系统的温度和压力的点落在OA线上,则系统为水和水蒸气两相平衡共存,OA称为汽化曲线,此曲线表示水的蒸气压与温度的关系。若系统的温度和压力落在OB曲线上,则系统为冰和水蒸气两相平衡共存,OB称为升华曲线,此曲线表示冰的蒸气压与温度的关系。若系统的温度和压力落在OC线上,则系统为水和冰两相平衡共存,OC称为熔化曲线,它表示冰的熔点与压力的关系。OAOBOC三曲线的交点O点,为水、水蒸气、冰三相平衡共存点,此点称为三相点。这个三相点只能在 O点的温度和压力下平衡共存(273.16开、0.006大气压)。汽化曲线OA终止于A点,即临界点,水蒸气和水变得不可区分,此时的温度和压力分别称为临界温度和临界压力。

冰有同质多晶现象,即一种物质能以不止一种晶型存在。图1中不同晶型的冰用不同的罗马数字标明,各曲线的斜率dp/dT均可用克拉珀龙方程表示:

公式 符号   (3)

式(3)说明单组分系统两相平衡时温度 T与压力p的关系,ΔH和ΔV为一定量的该物质从一个相转变为与之平衡共存的另一个相时的热效应和体积变化。

如果参加平衡的两相中有一相为气相,气相可视为理想气体,即其 pVT的关系符合理想气体状态方程,则考虑到物质为液相时的摩尔体积远小于其为气相时的摩尔体积,故前者可以忽略不计,于是式(3)可化为:

公式 符号   (4)

此式只适用于有气相参加的单组分两相平衡系统,所以p为蒸气压;R为气体常数,式(4)称克劳修斯-克拉珀龙方程。

二组分系统的相平衡

完全互溶双液系的沸点

图2 中A和B为两个能完全互溶(能以任何比例互溶)的液体,纯A与纯B在给定压力下的沸点分别为 TATB,液相线表示沸点与液相组成的关系。设在一个密闭容器中整个系统的组成为x点所示,温度为Tx,压力固定。当平衡时,液相的组成为x1,而气相组成为y1,联结线y1x1o点分成两段。这两段的比值y1o/ox1等于液相与气相质量之比或物质的量之比,此规则对所有的两相联结线均适用,称为杠杆规则。

图2 图3 图4

有些二组分完全互溶双液系的温度-组成图有最高共沸点(图3 )或最低共沸点(图4 )。在这两点处,气、液相组成相同。若将这最低点或最高点组成的溶液进行蒸馏,所得馏出液的组成与原溶液相同,剩余溶液的组成并不改变。这种现象称为共沸。乙醇-水系统的沸点-组成图属于此类。

分馏原理

如图5

图

所示,设原始混合物的组成为x,加热到T3时系统的温度和组成处于o点,此时气液两相的组成分别为y3x3。如果把组成为y3的气相冷到T2,则部分气体将冷凝为液体,得到组成为x2的液相和组成为y2的气相。 再将这部分组成为y2的气相冷却到T1,则此气相又部分地冷凝为组成为x1的液相, 同时得到组成为y1的气相。依此类推,最后所得到的蒸气组成可为纯物质B。

把组成为 x3的液相加热到T4,此液相部分地气化,此时,气液的成分分别为y4x4。把组成为x4的液相再部分地气化,则得到组成为y5的气相和组成为x5的液相。最后得到纯A。这样,通过多次部分气化和部分冷凝,使气相组成沿气相线下降,最后得到纯物质B,液相组成沿液相线上升,最后剩余的是纯物质A。

部分互溶双液系的溶解度

在恒定的压力p 和温度T′下,向液相A中逐渐加入液体B,当加入少量的液体 B时,B能溶解而成匀相的混合物或溶液,直至组成为c时为止(图6),

图

此后若再继续向此混合物中加少量液体 B,则产生另一层液体,用L2表示,其组成为d,而组成为c的液体则用L1表示,组成为cd的两层液相平衡共存,称为共轭溶液。c层是B溶于A所形成的溶液,d层是A溶于B所形成的溶液。

从图6可见,液体物质A在液体物质B中的溶解度及液体物质 B在液体物质A中的溶解度均随温度升高而增加,即随着温度升高,两液层L1与L2的组成愈来愈接近,至温度为Tc时(图6中的K点),两液层的组成变为一致,此点的温度称为临界溶解温度,K点溶液的组成称为临界组成。

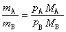
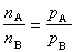
完全不互溶双液系的蒸气压和沸点

在一定的温度下,完全不互溶的两种液体物质A和B构成的系统中,总的蒸气压p等于该温度下纯物质A和纯物质B的蒸气压 pApB之和,设mAmB分别为此系统中平衡气相中物质A和B的质量,nAnB分别为物质A与B蒸气的物质的量,ΜA与ΜB分别为物质A与B的摩尔质量,若将此平衡系统的蒸气作为理想气体处理,则有:

公式 符号   (5)

公式 符号   (6)

根据式(5)、(6),可算出馏出液中物质A和B的质量或物质的量的比值。

ppA+pB式可知,当p等于外压时,这个双液系统就达到其沸点,因为ppApB都大,故知此双液系的沸点比纯物质A或纯物质B的沸点都低。水汽蒸馏就是利用这一原理。若被蒸馏物质B的沸点很高,则用通常分馏方法时,物质B在沸点的高温下发生分解;如果物质B与水完全不互溶,则可采用水汽蒸馏法,在比物质B和水的沸点都低的温度时将物质B蒸出。

二组分系统的液固相平衡

二组分在固态时完全不互溶的系统

分为三类:

(1)具有简单低共熔点系统的相图,如图7所示。

图

TATB两点分别为纯物质A和B的熔点。曲线TAE为物质A的凝固点随着所加入的物质 B的物质的量的增加而下降的情况,TBE曲线的含义类似。直线CED为在三相平衡温度下,连接三个相的组成点的直线。这三个相是固体纯物质 A、固体纯物质B和组成为E的液相,此时C=2,P=3,F=0,所以在固定压力下,此三相平衡系统为不变系统,此时的温度和各相的组成均固定不变,各相的组成和平衡温度均由系统本身的性质来确定。E点称为低共熔点,其温度比纯物质A和纯物质B的熔点都低。组成为E的液相析出的固体纯物质A和固体纯物质B的混合物称为低共熔混合物,故低共熔混合物在热力学上是两相的。在低共熔混合物中,两固体的物质的量或质量之比与组成为E的液相中的相同。

制冷剂就是根据盐水系统具有低共熔点的原理。例如固体物质碘化钾-冰的混合物的温度不能高于250.15开,这个温度就是碘化钾-水系统的低共熔点的温度。

(2)具有相合熔点的化合物的二组分系统的温度-组成图,如图8所示。

图

组分A和B可以形成另一个化合物C,其化学式以AxBy表示。图8可以看成两个类似于图7的相图合并而成,一个是组分A和组分C的二组分系统相图;另一个为组分C和组分B的二组分系统相图。化合物C在Tc时熔融,所产生的液相的组成与固体化合物C的组成相同,这种化合物称为相合熔点化合物。水-三氯化铁(H2O-FeCl3)系统的相图属于此类,此系统会形成公式 符号等相合熔点化合物。

(3)形成不相合熔点化合物的二组分系统温度-组成图,如图9 所示。

图

A和B两组分形成的化合物为C,C的化学式用AxBy来表示。C在TP温度时熔化成组成为P的液相和固态纯物质A,而液相的组成与固体化合物C不同, 故C称为不相合熔点化合物。此时固相A、固相C和组成为P 的液相三相平衡共存。由相律可知,在固定压力下,此时系统为不变系统,系统内的反应可用下述化学反应式表示:固公式 符号。加热时,此反应正向进行,当从系统取走热量时,此反应逆向进行,但不论在正向反应还是逆向反应进行的过程中,系统的温度和三相的组成都不变。E点为低共熔点,在温度TE时,组成为E的液相与固相化合物C以及固相纯物质B平衡共存,此时系统无独立变量。

形成固溶体的二组分系统

分两类:

(1)形成完全互溶固溶体的二组分系统的相图,与完全互溶双液系统的相图类似。

(2)形成部分互溶固溶体的二组分系统,又分两种:第一种是具有转变点的部分互溶二组分系统相图(图10)。

图

TATB分别为纯物质A与纯物质B的熔点,S1和S2分别为两种固溶体。将组成为P的固溶体S1加热,当温度升至T1时,开始熔融,产生无限少量组成为F的液相;继续加热,则固溶体S1不断熔融,温度不断上升;当达到CDE的温度时,液相组成变为C,S1固溶体的组成变为D,并产生另一种固溶体S2,其组成为E。如果继续对此系统加热,则S1不断转变为S2和组成为C的液相,此时系统是在固定压力下的二组分三相平衡系统,按相律可知自由度为零,故此时温度和S1、S2以及液相的组成都不变,直到S1固溶体完全消失。此时若对系统继续加热,则温度上升,液相组成沿曲线CTB变化,S2固溶体的组成沿曲线ETB变化,温度达到T2,最后少量的S2固溶体(组成为G)熔化。温度继续升高,系统中只有一个液相,组成为P

第二种是具有低共熔点的部分互溶固溶体的二组分系统的温度-组成图(图11)。

图

S1与S2是两种不同的固溶体,E点为低共熔点,在此温度时,如果从组成为E的液相中取走热量,则有S1和S2两种固溶体同时析出,其组成分别为CD,此时为三相平衡系统。在固定压力下,系统为不变系统,温度和各相组成均固定不变。

三组分系统的相平衡

三组分系统中,C=3,自由度数目FC-P+2=5-P,故最多可有五相平衡共存。如果令三组分系统的温度和压力维持不变,则 F=3-P,此时最大的自由度数目为2,于是系统的相图可用平面图来表示,此时的独立变量则是组成。三组分系统的组成可以方便地用三角形图来表示(图12 ),

图

图中等边三角形的三个顶点用A、B、C分别表示三个纯物质,三角形的每条边表示相应的二组分系统的百分组成,三角形内的点则表示三组分系统的百分组成。如果通过三角形内任一点P作直线cPbaPcaPb′分别平行于三角形的各边,则由几何原理可以证明Pa+Pb+Pc等于三角形一边之长。令三角形的每条边为100等分,则从PaPbPc三条线段的长度可分别得到P点所代表的三组分系统中A、B、C三个组分的百分含量。

有一对部分互溶液体的三组分系统

三组分系统的三个组分中若有两个组分(即一对)是部分互溶的,例如CHCl3-H2O-CH3COOH系统中,三氯甲烷CHCl3与水H2O是相互微溶的,而CHCl3和乙酸CH3COOH、H2O和CH3COOH这两个二组分系统都是完全互溶的。此三组分系统在室温和 1大气压压力下的相图如图13 所示,

图

帽形曲线以外为单相区, 而帽形曲线aKb代表平衡共存的两液相之组成,此曲线内的区为两液相平衡共存区。例如,此区内组成为 L的系统,在平衡时,两液相的组成分别为曲线 aKb上的两点a′与b′。线段ab′称为联结线,一般地说,ab′不平行于ab。组成为a′和b′的两液相互为共轭。若此三组分两相系统中CH3COOH越多,则联结线越短;当CH3COOH足够多时,联结线缩为一个点,如图13中的K,在此点,两个共轭液相的组成相同,K点称为临界点。

如果在纯CHCl3中加入H2O,至系统的组成为a点时则达到饱和。如果再加入更多的水,则系统中出现第二个液相,其组成为 b,即此时系统中有两个液相平衡共存,其组成分别为aba点为H2O溶于CHCl3中的饱和溶液b点为CHCl3溶于H2O的饱和溶液。

曲线aKb只是在一个温度下的曲线,而在其他温度时,此曲线则呈另一形状,不同温度的帽形曲线可绘于同一图中,例如图14所示的为苯酚(P)-水(W)-苯胺 (A)系统在不同温度时的曲线,abdc是323.15开时的曲线,eKf′是368.15开时的,gKh为421.15开时的。

图 图

三组分盐水系统相图

由水和两种盐组成的相图如图15所示。物质A和B都是纯的固态无水盐,且这两种盐有一种共同的离子。图中a为盐A在水中的溶解度,b为盐B在水中的溶解度。在只溶有A的饱和水溶液中溶入B时,A的溶解度一般是要起变化的,ac曲线上的点均代表溶入B后能与固态纯A呈平衡的溶液的组成;bc曲线含义类似。组成为c点的溶液可同时与固态纯A和固态纯 B呈平衡,此时在Tp固定的情况下,F=0,故此溶液的组成由系统自身性质决定而不能任意改变。Aac和Bbc两区均为两相区,分别为(液+固A)和(液+固B)。例如,在Aac区中有一组成为x的系统,在固定的温度和压力下,固相为固态纯A,液相组成为ac曲线上的q,此点是直线Ax的延长线与ac曲线之交点。对于组成落在Bbc区内的系统,平衡时固相为固态纯B,液相组成在bc曲线上。

曲线 acb以上的区为单相区(液相)。组成点落在此区内的溶液,不论对固态纯A或固态纯B均不饱和。组成点落在ΔABc内的系统,为三相平衡系统,P=3,C=3。在温度和压力已固定的情况下,F=3-3+0=0,故三个相的组成均固定:为固态纯A、固态纯B、组成为c的液相。

参考书目
  1. A. Findlay, A. N. Compbell and N. O.Smith, The Phase Rule and Its Applications, 9th ed., Dover, New York,1951.