[拼音]:tongji wulixue
[外文]:statistical physics
统计物理学主要介绍了统计物理学的早期发展、分子运动论、熵的统计解释和H定理、平衡态统计物理、非平衡态统计物理学、平衡态附近的情形、远离平衡态的情形、主要研究方法等内容。
统计物理学一般又称统计力学,是理论物理学的一个重要分支。统计物理学的任务,在于从对物质微观结构和相互作用的认识出发,说明或预言由大量粒子组成的宏观物体的物理性质。“大量”的程度,可以由阿伏伽德罗常数NA=6.022045×1023mol-1看出来:这是每一摩尔物质,例如18克水或32克氧气所含有的分子数目。粒子数目如此之多,不可能直接求解描述它们的力学方程,而必须采用概率统计的方法去研究。宏观过程和微观运动的时间尺度相差悬殊。一个看来不随时间变化的宏观状态,对应着瞬息万变的大量微观运动状态。对宏观状态进行一次物理测量的过程中,微观运动已经经历了大量不同的状态。测量本身就是一种统计平均。
统计平均的结果,导致温度、压力等等宏观参数。对于平衡态,早在19世纪中叶就从实验中概括出了宏观参数遵从的基本规律,构成了热力学的体系。对于非平衡态,也先后建立了流体力学和不可逆过程热力学这样的宏观描述。统计物理学是由微观到宏观的桥梁,它为各种宏观理论提供根据,与量子力学、经典电动力学一起成为现代气体、液体、固体和等离子体理论的基础,并在化学和生物过程的研究中发挥作用。
统计物理学的早期发展
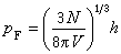
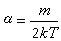
分子运动论19世纪中叶,原子和分子学说逐渐取得实验支持,从哲学观念具体化为物理理论,热质学说也日益被分子运动的概念取代。在这一过程中统计物理学开始萌芽。德国物理学家R.克劳修斯在1857年假定气体中的分子以同样大的速度 v向各个方向随机地运动。它们碰撞容器时传递给器壁的动量,造成气体对容器的压力p。克劳修斯首先推得
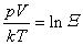
/p>式中V是容器体积,m是每个分子的质量,υ是分子的速度,N是分子总数。如果容器内共有v个摩尔气体,则N=vNA,NA就是前面提到的阿伏伽德罗常数。把式(1)和由实验确定的理想气体状态方程对比
pV=vRT, (2)
其中R=8.31441J/(mol·K)[=1.98648cal15/(mol·K)]是摩尔气体常数,T是绝对温度,得到
。 (3)
式(3)中按照现代写法,引入了玻耳兹曼常数
k=R/NA=1.380662×10-23J/K。
1859年英国物理学家J.C.麦克斯韦考虑到气体中各个分子的运动速度并不相同,在三个方向独立运动的假设下导出了速度分布函数
(4)
f/n是某个分子的速度的三个分量恰好落在υx、υy、υz到 υx+dυx、υy+dυy、υz+dυz范围内的概率密度。对各种可能的速度数值求积分,应得到分子数密度n
。 (5)
由这个积分可将式 (4)中的比例常数定为 (α/π)幫。式(1)和式(3)中的υ2应换成按分布(4)求平均的结果
(6)
由式(3)定出
。
于是分布式(4)可以写成
(7)
这就是著名的气体分子运动的麦克斯韦速度分布律。如果只考虑速度的绝对值 υ,则由于(5)和(6)这类积分下dυxdυydυz可以换成4πυ2dυ,分子运动速度按绝对值的分布律成为
。 (8)
克劳修斯和麦克斯韦的讨论,都没有考虑气体分子间的相互作用,因而只适用于极其稀薄的气体,即理想气体的情况。
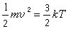
引入均方速度尌2并且假定分子在三个方向的运动互相独立,可由式(3)得到
。 (9)
这是经典统计物理中更普遍的能量均分定理的特例:一个力学系统如果处于温度为T的平衡态,则其总能量表达式中每个独立的二次方项对应的平均能量是
,它对定容热容的贡献是
,每个平动或转动自由度对应一个二次方项,而振动自由度对应两个二次方项。这就可以说明单原子气体的摩尔热容是
,而双原子气体的摩尔热容在一定温度范围内(当振动自由度尚未激发时)是
,在更高温度下成为
。如果把固体看成进行着简谐振动的一堆原子的集合,它的摩尔热容应是3R,这就解释了历史上P.L.杜隆和A.T.珀替通过室温附近的测量发现的关于固体热容的杜隆-珀替定律。能量均分定理不能解释多原子气体和固体在低温下的热容为何趋近于零,如果把它用于平衡的热辐射,更要得出辐射谱在短波端趋向无穷大的荒谬结论(“紫外灾难”)。这些困难在量子统计物理中才得到解决。
前面的讨论实质上都只围绕着温度这个热力学中的基本概念。热力学中另一个重要的概念是克劳修斯在1865年引入的熵。熵是物理系统状态的一个函数。对于孤立系统,它的数值永不减少;系统中进行可逆过程,熵的数值不变;而不可逆过程使熵的数值增加;平衡态对应熵的最大值。熵的统计解释主要是奥地利物理学家L.玻耳兹曼的贡献。玻耳兹曼的工作说明了用统计考虑可以为热力学奠定基础,同时也开创了不可逆过程的研究。
和麦克斯韦一样,玻耳兹曼不是考虑单个分子的运动,而是引入分布函数 f(r,v,t),使f(r,v,t)drdv代表速度在 v和v+dv,坐标在r和r+dr范围内的分子数目。显然与式(5)类似,应有
(10)
其中N是分子的总数。
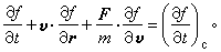
分布函数f(r,v,t)随时间的变化由两部分原因引起:一是分子的坐标和速度按力学运动方程的变化,即
(F是作用在分子上的力,故F/m是加速度);二是分子间相互作用(碰撞)引起的改变。前者是运动状态的连续变化,经过 δt时间之后,原处在drdv范围内的分子, 全部进入对应dr┡dv┡的状态,数目并没有增减。后者(碰撞)则使得一些分子进入drdv, 而另一些分子离开这一范围,其净效果用碰撞项
表示。于是
或对δt展开,得到
(11)
具体的碰撞项只有根据分子间相互作用的具体模型和一些补充假定才能推导出来。在只计入二体碰撞和认为分子的速度与位置没有关联(“分子混沌性”假设)的条件下,玻耳兹曼求得如下的碰撞积分
这个式子中 σ(Ω )是在立体角Ω 内的碰撞截面,v、v2和v┡、v娦 是两个分子在碰撞前后所具有的速度。式(11)和(12)合在一起,构成玻耳兹曼输运方程。这是关于函数f(r,v,t)的一个非线性积分微分方程。麦克斯韦速度分布律(7)是这个方程的一个均匀(不含r)定常态(与t无关)解。
对于输运方程的任何一个解,玻耳兹曼在1872年定义了如下的H量
(13)
并且证明了它是一个不随时间上升的量,即
。 (14)
这就是玻耳兹曼的H定理。式(14)中等号成立的条件,是碰撞积分式(12)等于零,即碰撞前后的分布函数满足
。 (15)
这个式子可以从左右两面读,说明正反两种碰撞过程的作用相抵。这叫作细致平衡条件。这个条件成立时,分布函数不因分子碰撞发生改变,气体达到热平衡。可以证明,满足细致平衡条件的f(v)就是麦克斯韦分布(7)式。显然,细致平衡是维持总平衡的条件。在H定理成立的前提下,细致平衡也是维持总平衡的充分和必要条件。总平衡能否由不同于细致平衡的其他条件维持,是目前尚未完全解决的问题。
除了平衡分布以外,其他情形下H(t)都随时间下降。因此,-H具有热力学熵的基本性质。然而,这还不是从微观原理出发,用统计方法定义了熵,因为作为出发点的输运方程本身包含若干假定。H 定理在历史上对于理解宏观系统中不可逆性的来源和趋近平衡的过程,起过重要作用。
为了说明熵的统计意义,玻耳兹曼还引入了热力学概率W的概念。W实质上不是概率,而是对应同一个宏观状态的微观状态的总数。玻耳兹曼证明,两个热力学状态的熵差正比例于它们的热力学概率的对数之差
S2-S1=k(lnW2-lnW1)。
后来普朗克把这个式子写成
S=klnW, (16)
k是前面式(3)中已经说明的玻耳兹曼常数。式(16)有时称为玻耳兹曼关系,它同时规定了熵的绝对数值。只有基于微观量子态的概念,式(16)的涵义才是完全清楚的。熵的统计定义式(16)并不限于平衡态,它还可以推广到非平衡态。
平衡态统计物理1902年美国物理学家J.W.吉布斯在其《统计力学的基本原理》这本名著中,建立了平衡态统计物理的体系。后来知道,这个体系并不局限于遵从经典力学的体系,它甚至更为自然地适用于服从量子力学规律的微观粒子。下面先从经典力学的概念出发,说明这个体系。
根据经典力学,具有N个自由度的力学系统的运动状态可用广义坐标q1、q2、…、qN和广义动量p1、p2、…、pN描述。把这些qi和pi取作直角坐标,它们构成一个2N维的空间,称为相宇或相空间。相宇中的每一点代表系统的一种可能的运动状态。可以想像大量性质相同的力学系统。它们的差别只在于初始条件,因而处于各种不同的运动状态。于是相宇中每一点代表一个力学系统。这些系统的集合称为系综或统计系统。力学系统随时间演化,其代表点在相宇中连续地改变位置。统计平均对于微观运动的尺度而言,是一种长时间的平均,也就是对对应于同一个宏观状态的一切可能的微观状态求平均,或者说对系综求平均。引入相宇中代表点的分布密度函数ρ(q1,…,qN,p1,…,pN,t),于是任何力学量A的平均值就是
(17)
式中dГ是dq1dq2…dqNdp1dp2…dpN的缩写。如果定义ρ时适当地引入比例常数,保证概率归一条件
(18)
成立,计算平均值的公式就成为
, (19)
对于满足哈密顿正则运动方程的力学系统,相宇中代表点随时间演化的运动轨迹永不相交。因此系综的时间演化可以看成相宇中代表点组成的不可压缩流体的运动,其密度函数ρ满足如下的刘维方程
, (20)
其中
是力学系统的哈密顿函数。如果仿照式(13),对作为力学量的函数ρ定义
,
则由刘维方程立刻看出,永远有
。
即不存在任何类似趋近平衡的不可逆过程。
为了得到超乎力学规律的统计描述,必须对分布密度ρ 的具体形状作出基本统计假设。统计假设不能由力学考虑推导出来,只能作为理论中的基本假定引入统计物理学的体系,其正确性也只能最终由实验来检验。
任何一种物理理论都包含着若干基本假定,这些假定只能最后由实验来检验其推论是否正确。在这种意义上,统计物理学可以说是最为简单、优美的理论,它实质上只包含一条大意如下的假定:如果对于系统的各种可能状态没有更多的知识,就假定一切状态的概率均等。然而,统计物理学却有着丰富的被实验证实的推论。统计物理学如此成功的根本原因,在于前面已强调指出的“大量”粒子数和相应的微观状态数目,使统计规律很好地成立。
下面介绍平衡态统计物理中常用的三种系综和三种分布。对于能量E和粒子数N固定的孤立系统,采用微正则系综,平均的结果是E和N的函数。对于可以和大热源交换能量但粒子数固定的系统,采用正则系综,平均的结果是温度T和粒子数N的函数,允许能量E有涨落。对于可以和大热源交换能量和粒子的系统,采用巨正则系综,平均的结果是温度T和化学势μ的函数,允许能量E和粒子数N都有涨落。
对于孤立系统,基本统计假定的表述最为简单和自然。既然只有总能量E保持不变,除此之外没有任何其他补充信息或限制,自然应假定相宇中等能面E和等能面E+ΔE之间各点的概率均等,即分布密度函数ρ在等能面E和等能面E+ΔE之间是常数,在其他地方为零。等能面是2N维相宇中2N-1维的超曲面。设等能面E和等能面E+ΔE之间的总体积是Г(E),则取
(21)
即可保证概率归一条件成立。式(21)有一个缺点:Г(E)具有N对dqdp乘积的量纲,而概率应当是一个无纲量。考虑到dqdp乘积的量纲与作用量一致,而物理学中有一个与作用量同量纲的基本常数──普朗克常数 h。同时考虑到由于海森伯测不准原理,具有q和p的状态只能在ΔqΔp≈h的精确度上定义,hN是相宇中对应一个状态的最小元胞的体积。可见,只要重新规定
(22)
Г(E)就具有等能面E和等能面E+ΔE之间的状态总数的涵义。既然Г(E)个状态的概率均等,每个状态的概率就是
。这样引入的系综就是微正则系综,式(21)称为微正则分布。式(22)中普朗克常数的出现不是绝对必要的,但是经典统计物理只有在应用量子论的概念之后,才能完全清楚。后面还要看到另一个例子,见式(25)。
微正则系综在理论上很重要,但实践中却不便于应用。现实的物理系统不是完全孤立的。在考察粒子数 N给定的现实的物理系统时,理论上应允许它和一个很大的处于温度为T的平衡态的热源接触并交换能量,因之最终也达到温度为T的平衡态。或者不用热源的概念,取大量粒子数相同的系统组成系综,允许它们之间交换能量而最终达到平衡态。这样的系综称为正则系综。可以从微正则系综出发,也可以独立地证明,对于正则系综,相宇中分布密度函数ρ比例于玻耳兹曼因子
为了满足概率归一条件,正则分布函数应写成
(23)
这里分母中的Z是平衡态统计物理中的一个重要的量,叫作统计配分函数或简称为配分函数:
(24)
有的文献中把Z称为统计和或统计积分。配分函数的重要意义在于,通过它可以与经典热力学建立联系,自由能或亥姆霍兹自由能的表达式是
F=-tT ln(Z/N!), (25)
式(25)中的N!是当年吉布斯为得到正确的经典热力学结果而硬加进去的。从自由能F计算其他宏观量,只须进行微分和运用普通的热力学关系。例如,熵S和压力p分别是
(26)
而内能则是
。 (27)
吉布斯还引入了第三种系综:不仅允许物理系统与热源交换能量,还允许交换粒子而达到平衡。这样的巨正则系综可以取多个处于温度T和体积V,但粒子数N不同的正则系综来构成。巨正则分布中增加了与粒子数有关的因子,写为
(28)
与热力学对比后,知道μ是化学势。式(28)分母上的巨配分函数是
。 (29)
这里引入了另一个常用的参量──活度z=
。ZN就是式(24)定义的正则配分函数,只是标明了粒子数N。采用巨正则分布时,统计平均的定义是
。
与式(25)类似,要通过巨热力势
(30)
来建立与热力学的联系。一切宏观量均可由Ω 对T、μ微分得到。例如平均粒子数和熵分别是
(31)
此外,由热力学关系Ω =-pV知道
。 (32)
量子统计物理是在基本统计假设下对宏观系统进行的一种不完备的量子力学描述。在完备的量子力学描述中,一个独立系统的状态由波函数ψ完全决定。ψ可以按照任何完备函数系{Φn}展开
(33)
│|Cn|2是一次测量中得到量子数n的概率。力学量A由算符┮ 描述,其量子力学平均值是
(34)
其中Anm是算符┮ 在{Φ}表示中的矩阵元
。 (35)
宏观系统不可能绝对孤立,并具有确定的波函数ψ。即使把外界环境与所考虑的物理系统放在一起组成孤立系统,Cn中也要出现与外界有关的未知因素。这时虽然对于Cn没有确切信息,仍然可以把式(34)中的
形式上换成某个矩阵孨的元素ρmn,然后对密度矩阵孨作一定假设来计算平均值
(36)
这里tr是求迹符号,表示求括弧中矩阵的对角元素之和。式(36)第二种写法与具体的表示 {Φ}无关。量子统计物理学中的基本统计假定就是关于密度矩阵孨 的论断。这里同样有三种常见的统计系综和三种密度矩阵,它们实质上与经典统计物理的情形相似。
对于微正则系综,基本统计假定是:一切能量本征值En在指定范围内的状态都具有相同的概率,概本不涉及各个状态之间的相位关系。具体到密度矩阵孨上,这就是假定对角元素
(37)
而非对角元素
。 (38)
式(38)通常称为无规相位近似。对于 ΔE趋于零的极限,微正则系综的密度矩阵可以简单地写为
(39)
这里使用了以算符为自变量的δ函数,其中彑是系统的哈密顿算符。δ函数是一种广义函数,其定义是
且
。
正则系综的密度矩阵是
(40)
式中配分函数
。 (41)
巨正则系综的密度矩阵是
, (42)
式中彑是粒子数算符,
是巨配分函数
。 (43)
式(40)和(42)与相应经典分布函数式(23)和(28)显然相似。配分函数Z或
不是算符,而是普通函数,它们与热力学量的关系完全与经典统计中一样,不再复述。由此可见,量子力学并没有影响平衡态统计物理的体系。但是下面将看到,微观粒子的不可区分性和它们对于量子状态的占有法则的区别,导致两种不同的量子统计法。
从量子力学知道,同类微观粒子是互相不可区分的,但是N个等同粒子组成的系统的波函数,对于粒子的置换(指坐标和所有内禀量子数的置换)可能具有两种不同的对称性质。自旋为整数的粒子组成的系统,其总波函数对于任意两个粒子的置换是对称的。这些粒子称为玻色粒子或玻色子,相应的粒子系统称为玻色系统。自旋为半整数的粒子组成的系统,其总波函数对于任意两个粒子的置换是反对称的。这类粒子称为费密粒子或费密子。相应系统称为费密系统。
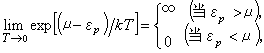
现在考虑理想气体。把每个粒子的一切可能的量子状态按量子数k编号,粒子在状态p的能量记为εp。把气体中处于一定量子态 p的粒子看成一个子系统。这当然是一个粒子数可变的系统,可以对它使用巨正则分布。把相应的热力学势记为Ω p,其中对状态求和就是按一切可能的占有数np(对每一个给定的p)求和
(44)
对于费密子,只允许np=0,1,式(44)中实际只有两项
Ω p=-kTln{1+exp[(μ-εp)/kT]}。 (45)
对于玻色子,np=0,1,2,…,式(44)中遇到可以求和的等比级数,结果是
Ω p=kTln{1-exp[(μ-εp)/kT]}。 (46)
按照式(31)计算处于量子态p的平均粒子数,得到
。 (47)
对于费密子,式(47)中取+号,这就是费密-狄喇克分布律。对于玻色子,式(47)中取-号,就得到玻色-爱因斯坦分布律。把处于一切量子态的粒子数累加起来,应得到系统中的总粒子数
。 (48)
这个式子决定化学势μ=μ(T,N)。
概括起来说,具有半整数自旋的微观粒子遵从费密-狄喇克统计法。具有整数自旋的微观粒子遵从玻色-爱因斯坦统计法。这是自旋和统计的关系。对于十分稀薄的理想气体,处于任何一个量子态的平均粒子数都很小
这时量子状态的占有法则自然不起作用,两种量子统计法的差别消失。这相当于在式(47)分母中 ±1项的贡献可以忽略,于是
fp=exp[(μ-εp)/kT]。 (49)
这就是经典统计中的玻耳兹曼分布律(1877)。麦克斯韦速度分布律式(7)是它的一个特例。
考虑几个应用量子统计的简例。首先考虑处于绝对零度的自由电子气体。电子自旋是1/2,遵从费密统计。注意到极限值
于是由式(47)看出费密分布蜕化成一个台阶函数
。 (50)
可见化学势μ是一个能量边界,一切εp<μ的状态被占据,而εp>μ的态空着。这个边界能量称为费密能量,记作εF。相应的动量
叫作费密动量,它可由式(48)定出来。为此只须根据式(22)把式(48)的求和换成积分(因子2计入自旋的两个状态)
式(48)换成积分后,积分上限取作pF,得
。只要温度足够低,使得kT
εF,电子的分布函数就很少偏离式(50)。这叫作简并电子气体。简并电子气体的特点是:密度越高,电子间的库仑作用能比起εF来就越小,因而也就更“自由”。对于有相互作用的费密系统,虽然理想的费密分布不再适用,但可以证明在T=0时分布函数仍然有一个明显的跳跃,仍然有费密边界动量存在。
绝对零度附近的玻色系统具有完全不同于费密系统的性质。这是因为T=0时,原则上全部粒子都可以处于εp=0的状态,从而使系统的总能量为零。如果在恒定低温下压缩玻色系统,在一定密度时大量粒子转入εp=0的状态,使得压力不再增加。这个现象称为玻色-爱因斯坦凝聚。液体氦在低温下(T=2.17K)的超流转变,是一种由于有相互作用而变得更复杂的玻色-爱因斯坦凝聚。
使用玻色-爱因斯坦分布讨论平衡电磁幅射时,应注意由于光子数目不守恒而导致的化学势μ=0。光子状态可按频率v区分,而且ευ=hv。引入波矢k=v/с,с是光速,一定波矢范围内的状态数目是
(因子 2计入横波的两个偏振方向)。
于是一定温度下一切频率的热辐射的总能量是
(51)
其中V是体积,T是热力学温度,常数
。式(51)积分下的表达式就是普朗克辐射公式(1900)。热辐射总能量与温度的四次方成正比,这就是先由J.斯忒藩在1879年从实验发现,后来1884年由玻耳兹曼从理论上证明的斯忒藩-玻耳兹曼定律。
经典统计物理和量子统计物理的差别在于对微观运动状态的描述,而不在于统计方法。以正则系综为例,解决平衡态的统计物理问题可概括为三个步骤。
(1)求解一个经典或量子力学问题,得到多粒子系统的能谱E(p,q)或本征值谱En;
(2)计算配分函数Z;
(3)对Z中的参数求微分,计算热力学量。第一步是一个与统计无关的力学问题,只有少数理想情况可以严格求解。第二步迄今为止只对于没有相互作用的理想体系和少数有相互作用的物理模型得到了准确结果。为了计算配分函数,发展了各种近似方法,例如集团展开、高温展开,低温展开和按照相互作用强度展开的微扰论等等。特别是随着现代大型电子计算机的发展,可以针对各种更为现实的物理模型,用蒙特-卡罗法,计算配分函数和统计平均值。这就使平衡态的统计物理学获得日益广泛的实际应用。
非平衡态统计物理学
非平衡态统计物理学虽然与平衡态统计物理学有着同样悠久的历史,但是直到20世纪中期才逐渐形成一些普遍概念,开始勾划出理论体系。自然界中平衡态是相对的、特殊的、局部和暂时的,不平衡才是绝对的、普遍的、全局和经常的。非平衡现象千姿百态、丰富多采,短时期内不可能期望建立与平衡态理论媲美的包罗万象的非平衡态统计物理。虽然对于自然界中若干类的非平衡现象,已经建立了普遍的宏观描述和相应的统计理论,然而非平衡态统计物理作为一个整体、仍是一门尚在迅速发展、远未达到成熟阶段的学科。
以下从两个方面介绍非平衡统计物理学的内容和方法。一方面,针对已经能够成功地处理的物理问题,介绍非平衡现象的宏观或半宏观描述,列举主要的定理和结论;另一方面,结合非平衡态统计物理学的主要方法,概述这一理论目前所具有的数学结构,指出理论中存在的一些基本问题。
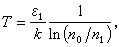
在稳定的平衡态附近,主要的趋势是趋向平衡。如果对处于平衡态的物理系统施以短暂的小扰动,则取消扰动后,系统经一定时间就要回到平衡,所需的这一段时间称为弛豫时间,这类过程称为弛豫过程。宏观描述中往往引入一个弛豫时间就够了。计算弛豫时间的数值及温度依赖关系等,则是统计理论的课题。
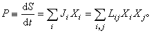
如果强行维持使物理系统处于不平衡状态的外界条件,例如温度差,浓度差、电位差(可把它们看作是广义力,记作Xi),但又不使其离开平衡太远,则系统内会产生持续不断的“流”Ji。离开平衡不远时,流正比于力。这个正比关系概括了19世纪以来建立的一大批经验规律。例如电流正比于电位差(欧姆电导定律,1826),热流正比于温度差(傅里叶热传导定律,1822),粒子流正比于浓度差(斐克扩散定律,1855)。这些流描述电荷、能量、质量等等的转移和输运。输运过程中消耗的功率比例于力的二次方。因此,这些过程统称为输运过程或耗散过程。事实上输运过程可以错综复杂地进行。一种力能引起多种流,一种流可来自多种力。例如,温度差不仅直接引起热流,还可以引起扩散流。这就是Ch.索里特在1879年发现的热扩散效应,后来发展成为分离同位素的方法之一。浓度差不仅直接引起扩散流,还能导致热流。这就是L.迪富尔在1872年发现的扩散热。因此,一般情形下应把流和力的关系写成
(52)
Lij称为输运系数或线性输运系数。电导率、热导率、扩散率、粘滞系数,热扩散系数等等都是输运系数。由式(52)描述的过程,又称为线性不可逆过程或线性响应。
宏观的平衡态对应瞬息万变的微观运动方式,是微观运动的平均表现。因此,各个宏观参数并不是一成不变地等于统计平均值,而是在平均值上下起伏摆动。如果对宏观系统中“微观大、宏观小”的部分作测量,则这些围绕平均值的涨落尤为清楚。涨落的存在,还给出物理仪器的测量精度极限。研究涨落的概率,可以利用玻耳兹曼关系式(16)(爱因斯坦,1910)。涨落时的熵变化与系统中发生此种可逆涨落所需之最小功R
有热力学关系ΔS=-R
/T,于是利用最小功的表达式可以写出涨落的概率
(53)
恰当地选择变量,就可以由式(53)计算各种热力学量的涨落,特别是当体积一定时,能量涨落的均方值是
(54)
其中Cv是定容热容;而粒子数涨落的均方值正比于等温压缩率和粒子数密度的二次方
(55)
弛豫、输运(耗散)和涨落是平衡态附近的主要非平衡过程。它们都是由趋于平衡这一总的倾向决定的,因而与平衡态有一些深刻的内在联系。例如,系统局部受到短暂的小扰动而离开平衡,或者由于自发的涨落而偏离平衡,其后回到平衡的弛豫过程应是相同的,应由系统的内部性质决定,而与最初偏离平衡的原因无关。因此,涨落和输运系数都可以完全用平衡态的物理量表示出来。
偏离平衡不远的线性不可逆过程的热力学和统计物理,已经是发展成熟的理论,其主要内容由以下三个原理描述。
(1)输运系数对称原理(又称昂萨格倒易关系)。当选择流和力的定义之后,式(52)中的输运系数矩阵是对称的
Lij=Lji。 (56)
如果有外磁场H存在,式(56)应写为
Lij(H)=Lji(-H), (57)
对于角速度为ω的旋转系统,式(56)应写为
Lij(ω)=Lji(-ω)。 (58)
1854年W.汤姆孙(即开尔文)研究热电效应时,推导出第一个对称关系。这个原理的一般形式是由L.昂萨格于1931年从微观运动方程在时间反演下的不变性出发证明的。
(2)涨落耗散定理。输运系数Lij 由相应流Ji和Jj的热涨落决定。1928年H.尼奎斯特证明,线性电路中热噪声电动势的均方值与电阻成正比
(59)
这就是一个涨落耗散定理,其实早在1905年爱因斯坦得到的布朗运动粒子在时间t内的均方位移与扩散系数D的正比关系
(60)
也是另一种意义下的涨落耗散定理。这个定理的普遍形式是H.B.卡伦和T.A.韦尔顿(1951)证明的。作为它的一个特例,可以导出久保亮五的直流电导率公式
(61)
它把σij这个输运系数通过电流自己的平均关联表示出来。注意式(61)中的平均只须用平衡态的分布函数计算。换言之,涨落耗散定理是说,可以把物理系统的一些非平衡性质通过平衡性质表示出来。
(3)最小熵产生原理。不可逆过程使系统的熵增加。熵产生的速率由广义力的二次型决定
(62)
(此式中dS仅指系统内产生的熵,不包括通过边界与外部交换的熵)。平衡态是一种不随时间变化的定常态。平衡态附近也可能存在另外的一些不随时间变化的定常态。I.普里戈金在1945年证明的最小熵产生原理指出,熵产生p取最小值的态也是定常态,这些定常态区别于其他非平衡态的特点就是熵产生p取最小值。应当指出,这一原理的适用范围比前面两个原理要窄。除了偏离平衡不远这一共同前提外,它还要求下面将要介绍的局域平衡假定成立。最小熵产生原理的物理图像是清楚的:如果外力的存在使系统不能趋近平衡(即p=0的)态,它就进入p最小的态。
另一大类非平衡现象的宏观描述是在局域平衡假定下建立的。这里又可以区分两种情形。第一种、也是最重要的情形,是物理系统的整体虽然处于非平衡态,但系统中每个微观大、宏观小的部分却近似地处于局部的热平衡态。因此可以定义依赖于空间坐标、甚至随时间缓慢变化的温度、化学势等热力学量,并在每一个局部引用平衡态的热力学关系。这类理论的最成功的例子就是流体力学。它是对于时空坐标的五个函数(流体速度的三个分量、密度和压力)建立的封闭的非线性方程组。
第二种局域平衡系统通常是空间均匀的,但系统的全部运动自由度可以分成若干个组或者若干个子系统,每个子系统内部由于相互作用较强而迅速达到平衡,但是子系统之间耦合较弱,需要较长时间才能达到平衡。这种情形下,可以为每一个子系统定义各自的温度。例如,晶体中磁性原子的自旋自由度和点阵的振动自由度往往就可以分开处理。
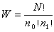
与这种描述密切相关的,是负温度的概念。这最好用一个简单的例子说明。设晶体中掺入N个杂质原子,每个原子具有两个可能的能量状态ε0=0和ε1,各有n0和n1个原子处于这些状态中:N=n0+n1。形成这个状态的微观方式共有
种,于是根据式(16),杂质原子组成的子系统的熵是
S=klnW=k(NlnN-n0lnn0-n1lnn1),
这里使用了斯特令近似公式
lnN!≈NlnN-N。
由于子系统的内能U=n1ε1,由热力学关系
求得
(63)
可见当n0>n1时,温度是正的;n0=n1时,对应T=∞;而在“占有数反转”即n0<n1时,温度成为负数。应当强调指出,负温度只是描述能级数目有限(上面例子中是两个) 的子系统“占有数反转”状态的一种方便的语言,在研究微波量子放大器和激光器时是一个有益的概念。对于热力学系统,可以严格证明温度必须是正值。
远离平衡态的情形20世纪60年代以来,对于远离平衡态的物理现象进行了广泛的研究,但是尚未形成完整的理论体系。这里最重要的一类现象是远离平衡的突变,有序与结构的出现。例如,从下面加热夹在两个无穷平板之间的液体。当上下两板之间温度差不大时,只有不伴随宏观流动的热传导过程。温度差达到一定临界数值时,突然出现规整的对流花纹。这是一类非平衡的相变现象,与平衡态的相变有许多相似之处。第一,通常有某个参数达到一定阈值,新状态才突然出现,这是一种临界现象。第二,新状态具有更丰富的时间和空间结构,例如周期行为或花纹图样。第三,只有不断从外界提供能量,这些结构才能存在下去。第四,新结构一旦出现,就具有和平衡态类似的稳定性,不易因外界条件的微小改变而消失。普里戈金等在1969年建议以耗散结构一词概括这类现象。宏观量之间的非线性关系,在远离平衡时有重要作用。耗散结构的理论,主要基于非线性方程的分叉点分析,基本上处于宏观描述阶段。
主要研究方法统计物理学所面临的数学问题,介于动力系统(多自由度乃至无穷自由度的力学)理论和概率论与随机过程理论之间。非平衡统计物理学的主要方法,也是左右逢源,可以划分为两大类。
第一类是从微观力学出发的统计理论,可以概括为“刘维方程加统计假定”。刘维方程式(20),可改写成算符形式
(64)
其中刘维算符怉在经典情形下就是泊松括号
, (65)
而在量子情形下则是哈密顿算符
和密度矩阵孨 的对易子。量子力学中式(64)有时称为冯·诺埃曼方程。通称之为刘维方程。
彻底的非平衡统计物理学,应当从刘维方程出发,加上明确的统计假定,导出各种宏观和半宏观描述,并在它们不适用的情形下,提供直接的统计处理方法。然而对于非平衡统计假定的认识,目前远不如平衡态的基本统计假定。这里只能略作介绍。
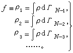
把N点分布函数ρ对N-1、N-2、…个变量积分之后,定义单点、两点、……等等约化分布函数
(66)
由刘维方程出发,可以为这些约化分布函数推得无穷个耦合方程,其中ρK的方程中出现ρK+1等等。此即经典或量子的BBGKY(Bogoliubov-Born-Green-Kirkwood-Yvon)方程链。任何较为实际的讨论,都需要把这个方程链截断,将ρK通过前面的ρK-1、ρK-2等等表示出来,以获得一个封闭的方程组。这类“截断近似”通常隐含地对应某种统计假定,其意义往往不很清楚。比较成功的例子,是H.H.博戈留博夫于1946年在两条假定下比较严格地推得了经典的玻耳兹曼输运方程(11)。这两条假定是:
(1)两点分布函数可以表示为单点函数的泛函ρ2=ρ2[ρ1],②在t→-∞并取热力学极限(N→∞,V→∞,N/V有限)之后二体关联衰减而有
(67)
玻耳兹曼方程还可以在其他一些大同小异的假定下推导出来。
对于量子情形,早在1928年W.泡利就为密度矩阵孨的对角元素推导得如下的主方程(master equation)
(68)
其中g 是耦合常数,Vmn是相互作用势的矩阵元,δ函数已见于式(39)。这个方程可以描述趋近平衡的不可逆过程,但推导中每一步都要使用无规相位近似,即舍去密度矩阵的非对角元素〔见式(38)〕。后来L.C.P.范霍甫(1957)和普里戈金(1961)只在初始时刻使用一次无规相位近似,推得了形式有所不同的主方程,并且讨论了趋向平衡的条件,说明不可逆性与热力学极限中的无穷体积有关。
非平衡统计物理学中的第二类方法,直接从随机方程出发,因而不需要统计假定,却带上了更多的半唯象描述的成分。20世纪初期P.朗之万在布朗粒子的牛顿运动方程中加上了随机力ξ(t)
(69)
用来反映没有归纳到摩擦力αv中去的其他运动自由度的影响。这是首次在物理学中使用随机微分方程,因此这一类方程以后统称为朗之万方程。现代非平衡统计物理中的朗之万方程可以表述如下。选择宏观变量的集合{Qi,i=1,2,…n}来描述某一类非平衡现象,它们遵从广义的朗之万方程组
(70)
其中势函数
在平衡态附近就是自由能,而在某些远离平衡的定常态附近也可以从微观运动方程的时间反演对称出发,证明存在着类似的势函数。对称矩阵描述宏观变量 Qi 的耗散和扩散运动,保证系统能够趋向平衡。Ki(Q) 反映不能通过势函数表示出来的宏观变量之间的耦合,例如当Qi代表平均磁矩时,磁矩的进动项就包含在Ki(Q)之中。这一项通常称为模模耦合,每个Qi就是一个运动模。关于随机力
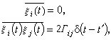
i(t),通常假定它遵从高斯分布,且
(71)
式(71)中出现的Γij就是方程(70)中的,这才能保证t→∞时Qi趋近由势函数
最小值决定的定常态。式 (71)是另一种意义下的涨落耗散定理,已在前面式(60)后提到。
朗之万方程可以看作从随机过程 {ξi(t)}到随机过程{Qi(t)}的变换。对于Qi的概率分布函数p(Q,t),可从朗之万方程(70)推导出如下的福克-普朗克方程
(72)
这是{Qi}空间中的推广的扩散方程,等号右端第一项是漂移项,第二项是扩散项。相反,从每一个福克-普朗克方程,可以推导出一批随机等价的,即遵从同一种随机分布的朗之万方程。关于朗之万方程和福克-普朗克方程的关系和性质,可参看随机过程和随机微分方程的有关条目。
以上处理非平衡统计问题的两类方法,并不是互相对立或无关的。事实上,线性不可逆过程的统计理论,可以同样好地应用这两套方法来建立。用由微观力学出发的确定论的方法,论证和推导概率论的理论形式,已经有过一些富有意义的尝试。