[拼音]:zhangliang
[外文]:tensor
向量的推广。在一个坐标系下,它是由若干个数(称为分量)来表示,而在不同坐标系下的分量之间应满足一定的变换规则,如矩阵、多变量线性形式等。一些物理量如弹性体的应力、应变以及运动物体的能量动量等都需用张量来表示。在微分几何的发展中,C.F.高斯、(G.F.)B.黎曼、E.B.克里斯托费尔等人在19世纪就导入了张量的概念,随后由G.里奇及其学生T.列维-齐维塔发展成张量分析,A.爱因斯坦在其广义相对论中广泛地利用了张量。
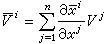
设n维空间中向量v在坐标系 { x1,x2,…,xn}下的分量为(V1,V2,…,Vn),而在另一坐标系{塣1,塣2,…,塣n}下它的分量为(堸1,堸2,…,堸n),则有
,其中
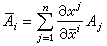
,是坐标变换,又称v为反变向量或一阶反变张量。又如,某一个几何量在坐标系{x}下用n个分量Aj表示,在另一坐标系{塣}下的分量为凴i,若总有
,则称此量为协变向量或一阶协变张量。在张量运算中常采用爱因斯坦和式约定,凡上、下指标字母相同,就表示对这一对指标自动从1到n求和,而略去记号∑。一般地说,如果有一个几何量,它在每个坐标系下都有一组分量,不同坐标系下分量间有下述变换规则:如在{x}系下它用ns+k个分量
来表示,而在{塣}系下的ns+k个分量为
,
则称此量为(s+k)阶混合张量,更确切地称它为s阶反变、k阶协变张量。例如,黎曼流形的度量在局部坐标系下可写为
式中gij就是一个二阶协变张量。
如果张量的分量
,则称此张量关于指标r,s为对称;如
,则它关于指标r,s为反对称。对高阶张量的任一对协变或反变指标也可定义它的对称或反对称性质。如果协变张量对其任一对指标均反对称,则称它为全反对称协变张量。对称性质及反对称性质在坐标变换下是不变的。
张量间有加法、乘法运算,其运算规则为
对混合张量的某一个协变指标及某一个反变指标,可作缩并运算,即将这两个指标从1到n求和,从而得到一个其反变、协变阶数都降低了一阶的新的张量。
上述张量都假定其分量是n维空间中某点x的函数,
。当点x在空间的某区域D中变动时,每点处有一个张量,于是就得到了一族张量,称为D上的一个张量场,上述各种运算对张量场都是适用的。对张量场可施行绝对微分运算,并发展成张量分析(见黎曼几何学)。
自50年代以来,由于整体几何发展的需要,人们经历了一次符号的变更,从里奇及列维-齐维塔的局部张量的符号下摆脱出来,采用了与坐标系选取无关的方式来表达张量,流形M上点x处的反变向量即为切空间TxM的元素,而协变向量(或称余切向量)ω 则是切空间TxM上的一个线性泛函ω:TxM→R,即余切空间T懜M中的元素,x处的一个k阶协变、s 阶反变张量
即为多重线性函数
如在TxM中取基{ej},其对偶基为{ωj},则
为张量
在基{ei}下的分量。流形M上相同阶次的张量组成一个以 M为底的纤维丛(张量丛),张量场是它的截面,切丛、余切丛、向量场、一次微分形式都是它们的特例。
张量在近代数学和物理中有广泛的应用。
- 参考书目
- L.P.Eisenhart,RieMannian Geometry, PrincetonUniv.Press, Princeton,1949.
- S.Kobayashi and K.Nomizu, Foundations of Differential Geometry, Vol.1, John Wiley & Sons, New York,1963.