溶液中离子的扩散

扩散是溶液的基本性质,是微粒(分子、原子)的热运动而产生的物质迁移现象,主要由浓差、温差和湍流运动引起,研究扩散可为溶液结构提供信息。

液体扩散的基本公式是斐克定律:

公式 符号

式中J为物质的通量,即单位时间内通过单位面积的物质量;D是扩散系数;公式 符号是浓度梯度。

电解质溶液的扩散

两组分体系中的扩散

在单组分体系中,自扩散系数用D*表示;在两组分体系中用D奮和D奯表示。在非理想情况下,D奯为浓度的函数,如果忽略粘度η对淌度U的影响,则有:

公式 符号

式中D凁为c →0时的D奯;ab活度cb为浓度;xb为摩尔分数;yb为摩尔活度系数。由于组分i的淌度 Ui是单位力影响下组分i所获得的平均漂移速度,或简单地认为是摩擦系数f的倒数,根据斯托克斯定律f=6πηrr为粒子半径),则U与1/η成正比,在考虑η变化时,上式可写成:

公式 符号

式中公式 符号为纯组分a的粘度。

单电解质的扩散

在电解质溶液中,极限当量电导公式 符号与扩散系数D+D_之间的关系可用能斯脱爱因斯坦公式表达:

公式 符号

式中Z为离子的电荷数;e为电子的电荷数;k玻耳兹曼常数;T热力学温度;F法拉第常数;R为气体常数。当c→0时,上式可简化为:

公式 符号

在电解质溶液中,电中性要求正、负离子都以同样的速率移动,因此,对于电解质从整体上说存在着一个扩散系数Db。在x方向的某一离子的扩散速度ui为:

公式 符号

式中公式 符号为粒子ix方向的驱动力;μi为粒子i化学势N 为阿伏加德罗数;ZieE为在电场E的存在下,带电荷Zie的离子i遭受到的力。对于正和负离子,这个扩散速度都应该是同样的,从式 u+u-消除E,并应用v+Z++v-Z-=0的关系,可得:

公式 符号

式中J为溶质通量;v+v-为正负离子个数。将上式与斐克定律相比,得:

公式 符号

式中y±为平均体积摩尔活度系数,此式称为能斯脱-哈脱莱方程。

电泳效应对扩散的影响

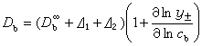
在电导中,离子互相吸引产生两种效应:一是松弛效应,即外电场的影响使对称的离子氛转化为非对称的;另一种是电泳效应,即在外电场的影响下溶剂分子和离子作反向的对流。在单独电解质的扩散里,两种离子以相同速率向前推进,离子氛的对称性仍能维持,因而没有松弛效应,但是电泳效应仍然存在,因为离子移动时穿过溶剂,而溶剂分子的扩散方向是相反的。这个效应与电解质的浓度有关,对称电解质从无限稀到浓度c时,可得到:

公式 符号

这些效应引起Db的改正为墹1+墹2,它只有电导率相应的改正值的1/10。

缔合式电解质对扩散的影响

离子缔合对扩散的影响是降低微粒的阻力。因为在液体中移动时,一个微粒的阻力总比两个小些,结果扩散速度上升。在稀溶液中得到下式:

公式 符号

式中 α为电离度;D公式 符号为无限稀释溶液中一个离子对的扩散系数,浓度为0.001~0.005摩尔/千克时D公式 符号是常数。

互扩散对扩散的影响

在两组分体系中,当B扩散到右边时,为使体系平衡,必然有一些物质流到左边,因此净效应可被描述为与方向中的整体运动结合的 B的纯扩散。在这种情况下,用单个扩散系数Dab来描述通过扩散的任一组分的浓度变化,就叫做互扩散系数。假设体积与组成无关时,Dab即为:

公式 符号

式中xaxb为组分a、b的摩尔分数;fb为组分b的有理活度系数,此式称为吉布斯-杜亥姆扩散方程,它还可表述为:

公式 符号

式中已假设uη成反比关系。

自扩散

纯液体分子从一点移动到另一点的运动称为自扩散。在溶液中实际能实现的是示踪扩散,例如极少量的放射性 Na*离子在氯化钠中的扩散。因为 Na*离子的浓度很小,基本无反向溶剂流动,所以电泳效应可以忽略。定量的方程为:

公式 符号

D凂可由能斯脱-爱因斯坦公式计算。

浓溶液的扩散

必须考虑溶剂的移动、溶液的粘度和离子的水化。非电解质浓溶液的扩散公式为:

公式 符号

式中xaxb为溶剂a和溶质b的摩尔分数;D公式 符号D公式 符号分别为b在无限稀释下的扩散系数和纯溶剂的扩散系数;Dv为两组分体系的分体积不变时的扩散系数。

把上式用于单电解质在浓溶液中的扩散,得出高浓度下水化电解质的扩散公式:

公式 符号

式中h为电解质水化数。对电解质的体积浓度来说,水化和非水化并无区别,因此Dv即为无水的扩散系数D公式 符号为纯水的扩散系数,对1:1价态的电解质,离子个数v=2。上式能符合许多1:1价态的盐,浓度可达1摩尔/千克,误差约为0.5%。

参考书目
  1. 黄子卿:《电解质溶液理论导论》,科学出版社,北京,1964。