[拼音]:jichu
[外文]:foundation
工程结构物地面以下的部分结构构件,用来将上部结构荷载传给地基,是房屋、桥梁、码头及其他构筑物的重要组成部分。中国在建筑物的基础建造方面有悠久的历史。从陕西半坡村新石器时代的遗址中发掘出的木柱下已有掺陶片的夯土基础;陕县庙底沟的屋柱下也有用扁平的砾石做的基础;洛阳王湾墙基的沟槽内则填红烧土碎块或铺一层平整的大块砾石。到战国时期,已有块石基础。到北宋元丰年间,基础类型已发展到木桩基础、木筏基础及复杂地基上的桥梁基础、堤坝基础,使基础型式日臻完善。在《营造法式》中对地基设计和基础构造都作了初步规定,如对一般基础埋深作出“凡开基址,须相视地脉虚实,其深不过一丈,浅止于五尺或四尺,……”的规定。
随着社会生产的发展,基础材料除灰土、砖石外,又增加了混凝土与钢筋混凝土。尤其是钢筋混凝土的广泛应用,及上部结构随工艺的使用要求而日益复杂,相应地出现了形式多样的基础。
基础类型
可按基础埋置深度、建筑材料、基础变形特性和结构形式进行分类。按埋置深度可分为:浅埋基础(条形基础、柱基础、片筏基础等)、深埋基础(桩基础、管柱基础、沉井基础等)和明置基础。按建筑材料可分为:砖基础、毛石基础、灰土基础、三合土(熟石灰、砂、碎砖石拌合)基础、混凝土基础和钢筋混凝土基础。按基础变形特性可分为:柔性基础和刚性基础。按结构形式可分为:独立基础、壳形基础、联合基础、条形基础、片筏基础、箱形基础、桩基础、管柱基础、沉井基础、和沉箱基础等。
独立基础用于柱下(图1),其形状根据材料与受力状态选定。砖石(毛石)基础宜做成台阶形。
壳形基础
是钢筋混凝土独立基础的一种特殊类型,形状多样,有正、倒圆锥形,椭圆锥形,M形,正、倒筒形,双曲抛物线形等。多用作烟囱、水塔、筒仓、水池、机器和电视塔等构筑物的基础。
壳形基础是利用荷载在壳体内主要产生轴向力,充分发挥材料强度的基础形式。它具有足够的强度、刚度和稳定性,沉降比实体基础小,又具有节约材料、降低造价等优点。但是壳形基础的施工技术要求严格,如壳内土胎、钢筋布置和灌筑混凝土等的施工较复杂;现有计算理论还不够完善,有待进一步提高。
联合基础两根立柱或若干根立柱共用的基础称为联合基础。联合基础用钢筋混凝土建造,按结构形式分为矩形联合基础 (图2)和梯形联合基础。设计时应尽量使设计荷载的合力作用线通过基础底面积形心。为了增加联合基础的刚度,可以设置肋梁。
条形基础
按结构形式可分为墙下条形基础、柱下条形基础、柱下交叉条形基础(图3)。条形基础的横截面一般呈倒T形。 基底宽度、基础高度和配筋按平面问题计算确定。
交叉条形基础用钢筋混凝土建造,具有一定的空间刚度和调整地基不均匀沉降的能力,适应地基软弱不均或框架结构各柱荷载大小不一的情况;因能增强基础的整体性和刚度,故亦有利于结构抗震。设计时,按弹性地基上梁计算(见地基上梁和板)。
片筏基础具有一定厚度的支承整个建筑物的大面积整体钢筋混凝土板式基础(图4)。为了增加结构刚度,在板上或板底的单向或双向设置肋梁,以形成梁板组合基础。片筏基础适用于土质软弱,地基承载力低,上部结构传递到基础的荷载很大及上部结构对地基不均匀沉降敏感的情况。片筏基础由于承载面积大,故能减低基底压力,提高地基承载力,增强基础整体刚度,并调整不均匀沉降。设计时,根据荷载大小和分布情况,采用地基上板的计算方法或考虑上部结构与地基基础相互作用的计算方法,求出基底反力、基础弯矩和剪力,以确定板厚和配筋数量,并做柱脚处板的抗冲切验算。应力求荷载合力作用点与基底形心相重合,否则将出现偏心力矩,造成地基反力不均,从而使基础倾斜。为此,在决定板的尺寸时,应尽量使立柱间距相等和荷载分布均匀。为了减小偏心距,必要时可增加底板挑出长度来调整板底形心位置。当上部为框架结构、柱等距和柱荷载分布均匀时,可采用等厚度片筏基础;若柱距不等或柱荷载分布不均匀,基础承受较大的剪力和弯矩时,可采用厚度不等的片筏基础,甚至可以在板上柱间或墙间设置肋梁或刚性桁架。片筏基础在地下形成的空间,可加设围护结构作为地下室或储藏库等。
箱形基础
由底板、顶板、侧墙及一定数量的内隔墙组成的箱形的钢筋混凝土整体基础 (图5)。箱形基础具有较其他类型基础更大的结构刚度与整体性,故适合于上部结构荷载差异大、对不均匀沉降敏感、抗震要求严格及要求兼设地下室的建筑物。
顶、底板厚度和配筋要考虑结构整体弯曲和局部弯曲引起的内力,并进行抗剪和抗冲切验算。箱基内应有足够数量的纵横墙,以保证整体刚度。墙体应进行抗弯抗剪验算。当地基承载力与变形不能满足要求时,也可以在片筏基础或箱形基础下加设桩基。这种形式对高层建筑的抗震甚为有利。
基础设计
主要包括基础类型、材料、埋深、平面布局、基底尺寸和持力层的选择,以及基础结构计算。
设计依据(1)建筑物场地的自然条件,如地形、地貌、气象、水文;工程地质和水文地质条件,如地质构造、岩土层分布及其物理力学性质和供设计用的参数、工程地质现象和场地稳定性评价;
(2)建筑物或构筑物的布局和结构设计资料,如建筑物或构筑物的使用要求、平面布置与相邻建筑物或设备基础的关系、结构形式、作用于基础上的荷载、水暖、电信管线的配置,建筑材料的供应,施工设备和能力等。
埋深基础埋置深度从承载力与变形方面考虑,以把基础埋置在承载力高、稳定的土层(或岩石)上为好。但从经济与施工方面考虑,基础应力求浅埋。并考虑动物的扰动、冻融、冲刷、岩石严重风化带的影响而后决定。一般工业与民用建筑物基础的容许最小埋置深度至少0.5米。桥梁墩台基础受水流冲刷深度控制。 冻土地区受冻结深度控制。若不能满足最小埋深,需对基础采取保护措施。
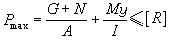
基底尺寸和持力层的选择基底面积的选择除满足建筑功能的要求外,尚应满足下式:

式中P
为最大基底反力;G为基础自重;N为上部结构传至基础顶部的垂直荷载;A为基础底面积;M为上部结构传至基础顶部的弯矩;I为基底形状的惯性矩;I为基础边缘至基础形心的距离;[R]则为地基容许承载力。
确定地基持力层的容许承载力是比较复杂的问题。容许承载力不是地基的一个固定的力学特征,它随基础尺寸、埋置深度与刚度而改变。
在一般情况下按上式定出基底尺寸后可不需进行沉降计算。但若地基软弱或不均匀,荷载分布不均匀,基础可能沉降很大或发生不均匀沉降,或持力层下面有软弱下卧层时,在初步确定基底尺寸后尚应进行沉降分析和下卧层承载力验算。沉降值应不超过地基容许变形值,该值应根据上部结构的刚度条件和使用条件所能接受的限度来拟定。若基础建于斜坡上,或水平荷载大,有发生倾覆或滑动可能时,应对基础整体稳定性进行验算并做出评价(见土坡稳定分析)。若上述任一方面得不到满足,应重新考虑基础类型、调整埋置深度、基础尺寸,直到满足为止。
基础结构计算地基反力大小与分布受到荷载、地基土性质、地基应力水平、结构与基础刚度、基础形状与尺寸等因素的影响,按照结构与地基基础相互作用的原理进行分析比较符合实际,但在一般情况下可采用简化法计算,方法有二:
(1)采用线性地基反力分布假设。对于荷载不大,基础形式简单,地基土质较好的情况下能够满足设计要求。
(2)采用地基上梁和板的计算方法。即考虑经过简化的上部结构刚度对地基反力的影响,支承梁和板的地基可采用不同的地基计算模型。该法对接近于柔性结构和绝对刚性结构可以得到较为满意的结果。但对荷载大、层数多、跨度大、结构复杂的建筑物,应根据结构与地基基础相互作用的原理,采用等效刚度法(指与全部施工和使用过程中使基础处于最不利状态时的结构和基础的整体刚度等效)或有限元法计算。
地基反力求得后,根据所承受的荷载和地基反力,按结构力学计算基础的弯矩和剪力,进行构造设计。
参考文章
- 根据《宪法》,国家通过各种途径,创造劳动就业条件,加强0,改善劳动条件,并在发展生产的基础上,提高劳动报酬和福利待遇。法律题库
- 企业在重大危险源()基础上,应对每一个重大危险源制定严格的安全监控管理制度和措施。法律题库
- 根据《宪法》,国家通过各种途径,创造劳动就业条件,加强(),改善劳动条件,并在发展生产的基础上,提高劳动报酬和福利待遇。法律题库
- 《中共中央国务院关于推进安全生产领域改革发展的意见》指出,到2030年,(),全民安全文明素质全面提升,安全生产保障能力显著增强,为实现中华民族伟大复兴的中国梦奠定稳固可靠的安全生产基础。法律题库
- 早动手,早管理,为小麦丰收打下好基础粮食作物
- 血管球瘤的解剖基础?诊断要点及治疗方法?骨科
- 提高玉米播种质量 奠定玉米高产基础粮食作物
- “种是基础 管是关键”――油菜田间管理技术经济作物
- 基础养老金的省际差距达10倍保险
- 股东查阅权的理论基础股票基金