数字滤波器

由数字乘法器、加法器和延时单元组成的一种算法或装置。数字滤波器的功能是对输入离散信号的数字代码进行运算处理,以达到改变信号频谱的目的。数字滤波器一词出现在60年代中期。由于电子计算机技术和大规模集成电路的发展,数字滤波器已可用计算机软件实现,也可用大规模集成数字硬件实时实现。

数字滤波器是一个离散时间系统。应用数字滤波器处理模拟信号时,首先须对输入模拟信号进行限带、抽样和模数转换。数字滤波器输入信号的抽样率应大于被处理信号带宽的两倍。数字滤波器的频率响应具有以抽样频率为间隔的周期重复特性,且以折叠频率(即二分之一抽样频率点)呈镜像对称。为得到模拟信号,数字滤波器处理的输出数字信号须经数模转换、平滑。

数字滤波器具有高精度、高可靠性、可程控改变特性或复用、便于集成等优点。数字滤波器在语声信号处理、图像信号处理、医学生物信号处理以及其他应用领域(如通信、雷达、声纳、仪器仪表和地震勘探等)都得到了广泛的应用。

数字滤波器有低通、高通、带通、带阻和全通等类型。它可以是时不变的或时变的、因果的或非因果的、线性的或非线性的。如果数字滤波器的内部参数不随时间而变化,则称为时不变的,否则为时变的。如果数字滤波器在某一给定时刻的响应与在此时刻以后的激励无关,则称为因果的,否则为非因果的。如果数字滤波器对单一或多个激励信号的响应满足线性条件,则称为线性的,否则为非线性的。应用最广的是线性、时不变数字滤波器。

数字滤波器可以按所处理信号的维数分为一维、二维或多维数字滤波器。一维数字滤波器处理的信号为单变量函数序列,例如时间函数的抽样值。二维或多维数字滤波器处理的信号为两个或多个变量函数序列。例如,二维图像离散信号是平面坐标上的抽样值。

一维数字滤波器

处理一维数字信号序列的算法或装置。线性、时不变一维数字滤波器的输出信号序列y(n)和输入信号序列x(n)的关系由线性、常系数差分方程描述

公式 符号    (1)

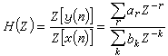
相应的Z域转移函数为

公式 符号    (2)

式中arbk为数字滤波器系数,Z[y(n)]和Z[x(n)]分别为输出和输入信号序列的Z变换。转移函数H(z)的Z反变换称为一维数字滤波器的单位冲激响应,即h(n)=Z-1[H(z)]。输出信号序列也可以表示为输入信号序列x(n)与数字滤波器单位冲激响应h(n)的离散褶积

公式 符号      (3)

如果数字滤波器的单位冲激响应h(n)只有有限个非零值,称为有限冲激响应数字滤波器。如果单位冲激响应具有无限多个非零值,称为无限冲激响应数字滤波器。

有限冲激响应数字滤波器一般采取非递归型算法结构,因此也称非递归型数字滤波器。无限冲激响应数字滤波器只能采取递归型算法结构,故又称递归型数字滤波器。

二维数字滤波器

处理二维数字信号序列的算法或装置。线性、时不变二维数字滤波器的输出 y(mn)与输入 x(mn)关系由两个变量线性常系数差分方程描述:

公式 符号 (4)

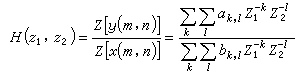
相应的转移函数为

公式 符号   (5)

式中a公式 符号b公式 符号为滤波器系数,Z[y(mn)]和Z[x(mn)]分别为输出和输入信号序列的二维Z变换。转移函数H(z1z2)的二维Z反变换h(mn)=Z-1[H(z1z2],称为二维数字滤波器的单位冲激响应。二维数字滤波器的输出y(mn)亦可表示为输入信号序列xmn)和单位冲激响应h(mn)的二维离散褶积

公式 符号    (6)

二维数字滤波器对单位冲激响应亦分有限冲激响应和无限冲激响应两类。二维有限冲激响应数字滤波器为非递归型算法结构,因此又称二维非递归型数字滤波器。二维无限冲激响应数字滤波器为递归型算法结构,因此也称二维递归型数字滤波器。

有限字长效应和稳定性

这是研究和设计数字滤波器的重要问题。信号序列和数字滤波器系数均以有限长码位来表示,称为有限字长。系数的有限字长影响频率响应特性,信号序列和运算过程的有限字长影响数字滤波器输出噪声。非递归型数字滤波器可以保证绝对稳定,而递归型数字滤波器则由于有限字长影响可能导致不稳定或产生极限环振荡。

一维数字滤波器的设计理论已相当成熟,但低灵敏度、低噪声的算法结构仍在研究中。二维和多维数字滤波器的设计,特别是无限冲激响应二维和多维数字滤波器的稳定性等问题,有待进一步研究解决。

参考书目
  1. 邹理和著:《数字滤波器》,国防工业出版社,北京,1979。
  2. A.Antoniou Digital Filter:Analysis and Design,McGraw-Hill Co.,New York,1979.
  3. T.S.Huang,Two Dimensional Digital Signal Processing,Springer-Verlag, Berlin, 1981.