µçÓ°ÉãÓ°

ä¯ÀÀ

ͨ¹ýµçÓ°ÉãÓ°»ú°ÑÈË£¨°üÀ¨Ô˶¯×ŵÄÈË£©»òÎïµÄÓ°ÏñÁ¬Ðø¼Ç¼ÔÚµçÓ°½ºÆ¬ÉϵĹý³Ì¡£µçÓ°ÉãÓ°×÷ΪÒÕÊõ´´×÷Óë¼¼Êõ¿ØÖƵĸ߲ã´ÎµÄ×ۺϣ¬¼ÈÐë³ä·Ö×¢Òâ¾ç±¾ÄÚÈÝÓëÔìÐ͵ÄÒªÇó£¬ÃÜÇÐÓë±à¾ç¡¢µ¼ÑÝ¡¢ÃÀ¹¤¡¢ÕÕÃ÷µÈ´´×÷ÈËÔ±Çд裬ȷ¶¨ÉãÓ°»­ÃæµÄ»ùµ÷ÓëÒÕÊõ´¦Àí£»ÓÖÐë¶ÔÉãÓ°É豸¡¢Æ÷²ÄµÄ¼¼ÊõÐÔÄÜÓгä·ÖÁ˽⣬¶ÔÉãÓ°¹ý³ÌÖÐÈκÎÓ°Ï콺ƬÃܶȡ¢Ó°µ÷£¨É«µ÷£©µÄ¼¼ÊõÌõ¼þÓÐ×ã¹»µÄ¹À¼Æ¡¢ÅжϺÍÕÆÎÕ¡£

µçÓ°ÉãÓ°µÄÍêÕû¼¼Êõ¹ý³ÌÓ¦°üÀ¨£º

£¨1£©ÅÄÉã¹ý³Ì£¬¼´¸ù¾ÝӰƬÄÚÈݼ°µ¼ÑÝ´´×÷ÒªÇó¶Ô»­Ãæ½øÐÐÉãÓ°µÄ¼¼ÊõÓë¼¼ÇÉ´¦ÀíµÄ¹ý³Ì¡£

£¨2£©Ï´Ó¡¹ý³Ì£¬¼´¶Ôµ×Ƭ¡¢ÕýƬ½øÐм¼Êõ¼Ó¹¤£¬Ò²ÊǶÔÅÄÉã½á¹ûµÄÔÙÏÖ¡¢ÐÞÕý¡¢µ÷½ÚµÄ¹ý³Ì¡£

£¨3£©·ÅÓ³¹ý³Ì£¬Ò༴°ÑÅÄÉãÏ´Ó¡µÄ¿½±´¸ø¹ÛÖÚ¼ìÑé¡¢¹Û¿´µÄ¹ý³Ì¡£ÏÁÒåµÄµçÓ°ÉãÓ°£¬ÊÇÖ¸ÅÄÉã¹ý³Ì£¬¼´¼Ç¼ӰÏñµÄ¹ý³Ì¡£

ÅÄÉã

ÅÄÉã¹ý³ÌÖÐ×îÖØÒªµÄÆ÷²ÄÊǵçÓ°ÉãÓ°»ú¡£ÏÖ´úµçÓ°ÉãÓ°»úµÄ»­ÃæÎȶ¨ÐԺܸߣ¬¿É´ï0.008ºÁÃ×£¬ÔëÉùˮƽҲ½µµÍÖÁ27¡«28·Ö±´£¬Ò»°ã¶¼Å䱸½¹¾à³¤¶Ì²»Í¬µÄϵÁл¯ÉãÓ°Îï¾µ»ò±ä½¹Îï¾µ¡£ÉãÓ°Îï¾µµÄ·Ö±æÂʺÍÄɹâÐÔÄÜÒ²ÔÚ²»¶ÏÌá¸ß¡£

µçÓ°ÉãÓ°»úµÄÆØ¹âʱ¼ä(t)È¡¾öÓÚÉãӰƵÂÊ(n)¼´Ã¿ÃëÅÄÉãµÄ»­·ùÊýºÍ¹âÕ¢µÄ¿ª¶È(§Õ)¡£¼´

ʽÖЦÈΪÿÅÄÉãÒ»¸ö»­·ùʱ¹âÕ¢ÐýתµÄ½Ç¶È£¬Ò»°ãΪ360¡ã¡£µçÓ°ÉãÓ°ÖУ¬¹âÕ¢¿ª¶È¿ÉÒԸıäʱ£¬ÉãÓ°ÆØ¹âʱ¼ä¼´¿Éµ÷Õû¡£

ÔÚÏÖ´úµçÓ°ÉãÓ°»úÉÏ£¬²ÉÓ÷´¹â¹âÕ¢£¬ÒԱ㵱ÆäÇжÏͶÉäµ½½ºÆ¬ÉϵĹâÁ¿¡¢»»·ùʱ£¬°Ñ¹âÏß·´É䵽ȡ¾°Æ÷ÖУ¬¹©Ñ¡¾°¡¢Ð£¾àÓá£

µçÓ°ÉãӰΪʵÏÖÖð·ù¡¢Á¬ÐøÅÄÉ㣬²ÉÓõÄÇý¶¯É豸ÓÐ 3ÖÖÀàÐÍ£º

£¨1£©·¢ÌõÇý¶¯¡£Ö»ÓÃÓÚÇáÐÍÊÖÌáʽµçÓ°ÉãÓ°»ú£¬ÇÒ²»ÊÊÓÚÅÄÉãʱ¼ä½Ï³¤µÄµçÓ°¾µÍ·£¨»­Ã棩£¬¶øÇÒÔÚÂúÌõºÍйÌõºóÆÚµÄʵ¼ÊתËÙÓÐÃ÷ÏÔ²î±ð£¬Ó°Ï춯×÷Ч¹ûºÍÉãÓ°ÆØ¹âʱ¼ä¡£

£¨2£©Ö±Á÷µç»úÇý¶¯¡£Êǵ±Ç°¹ã·ºÓ¦ÓõÄÇý¶¯É豸£¬²ÉÓþ§ÌåÎÈËÙµç»ú×÷ΪÇý¶¯É豸£¬ÊÊÓÚÅÄÉãʱ¼ä½Ï³¤µÄµçÓ°¾µÍ·£¨»­Ã棩£¬×ªËÙ¾ùÔÈ£¬²»Ó°ÏìµçÓ°»­ÃæµÄ¶¯×÷£¨»ò»î¶¯£©Ð§¹û¼°ÉãÓ°ÆØ¹âʱ¼ä¡£

£¨3£©ÈýÏàͬ²½µç¶¯»úÇý¶¯¡£ËüÄÜʹµçÓ°ÉãÓ°»úÉãӰƵÂÊ»ù±¾±£³ÖÿÃë24·ù£¬ÊDZ£Ö¤»­ÃæÎȶ¨µÄÖØÒªÌõ¼þ£¬Òò¶øÊÇͬÆÚ¼²»¿ÉȱÉÙµÄÇý¶¯É豸¡£ÈýÏàͬ²½µç»úµÄµçÔ´Ò»°ãÊÇ 220·ü£¨»ò 110·ü£©£¬50ºÕ£¬µç¶¯»ú±¾ÉíµÄתËÙÒ»°ãΪÿ·ÖÖÓ1500ת»òÿ·ÖÖÓ3000ת£¬¾­½µËÙ³ÝÂÖºó£¬Êä³öÖáתËÙΪÿ·ÖÖÓ1440ת£¬ÒÔ±£Ö¤ÉãӰƵÂÊΪÿÃë24·ù¡£

ÉãӰƵÂÊÉæ¼°µ½Ó°ÏñËùÐγɵĻ¸Ð¾õ¡¢Ó°ÏñµÄÇåÎú³Ì¶ÈºÍÉùÒôÖÊÁ¿¡£Ã¿Ãë16·ùµÄÉãӰƵÂÊ£¬¼ÓÉÏ·ÅӳʱÕÚ¹âÆ÷µÄÔöÉÁ£¬¾Í¿ÉÒÔʵÏÖÁ¬Ðø»î¶¯µÄÁ¼ºÃ¸Ð¾õ¡£ÎÞÉùƬʱÆÚµÄÉãÓ°¡¢·ÅӳƵÂʶ¨ÎªÃ¿Ãë16·ù£¬ÓÐÉùµçӰʱÆÚ£¬ÎªÁ˼¡¢»¹ÒôƵΪ9000ºÕµÄÉùÒô£¬ÒÔÌá¸ßӰƬµÄÉùÒôÖÊÁ¿£¬ÐèÒª¼Ó³¤Ó°Æ¬ÉÏÉù´øµÄ³¤¶È£¬Îª´Ë¶ø°ÑÉãÓ°£¨»­·ù£©ÆµÂʺͷÅӳƵÂÊÌá¸ßµ½Ã¿Ãë24·ù¡£

¸ù¾ÝÉÏÊöÓÐÉùӰƬµÄƵÂʺÍ35ºÁÃ×ӰƬ»­·ù³ß´çµÄ´óС£¬°´ÕÕÖйú·¨¶¨¼ÆÁ¿µ¥Î»¹æ¶¨µÄ³¤¶Èµ¥Î»¡°Ãס±À´¿¼ÂÇ£¬Ã¿ÃëºÄƬ³¤¶ÈΪ0.456Ã×£¨Ã¿Ã×ÈÝÄÉ52.6¸ö»­·ù£©£¬Ã¿10ÃëºÄƬԼΪ4.56Ã×£»¶ø16ºÁÃ×ÓÐÉùӰƬÿÃëºÄƬ³¤¶ÈΪ 0.182Ã×£¨Ã¿Ã×ÈÝÄÉ131.25¸ö»­·ù£©£¬Ã¿10ÃëºÄƬ³¤¶ÈΪ 1.828Ã×£¬Ã¿·ÖºÄƬ³¤¶ÈΪ10.972Ãס£

»­·ù¿í¸ß±È£¬´ÓµçÓ°·¢Ã÷µ½½ü´úÉãÓ°£¬¾­ÀúÁËÖÖÖֱ仯¡£×îÔç×÷Ϊ±ê׼ȷ¶¨ÏÂÀ´µÄÉãÓ°»­·ù³ß´çΪ 24:18ºÁÃ×£¬ÕâÊÇ35ºÁÃ×ÎÞÉùӰƬËù²ÉÓõĻ­·ù³ß´ç£¬Æä¿í¸ß±ÈΪ 4:3£¬»ò³Æ1.33:1¡£¶øÏÖ´úÓÐÉùµçÓ°¹ã·ºÓ¦ÓõĻ­·ù³ß´ç¼°¿í¸ß±ÈÊÇ£º

21.95:16.00£¨ºÁÃ×£©¡¡¡¡¡¡¡¡ 1.37:1

21.95:12.42£¨ºÁÃ×£©¡¡¡¡¡¡¡¡ 1.66:1

21.95:11.77£¨ºÁÃ×£©¡¡¡¡¡¡¡¡ 1.75:1

21.95:11.15£¨ºÁÃ×£©¡¡¡¡¡¡¡¡ 1.85:1²ÉÓñäÐÎÉãÓ°Îï¾µ»ò±äÐÎÌ×¾µÉãÖÆµÄ¿íÒøÄ»µçÓ°£¬»­ÃæµÄ¿í¸ß±È¿É´ï2.35:1»ò2.55:1¡£

µçÓ°»­Ãæ¶ÔÅÄÉã²Ù×÷¼¼ÊõµÄÒªÇó£¬ËäÎÞÒ»¶¨Ö®¹æ£¬µ«Õý³£²Ù×÷¼¸ºõ¶¼Ó¦×öµ½£ºÆ½¡¢×¼¡¢ÎÈ¡¢ÔÈ£»ÔÚʵ¼ùÖÐÓÐʱҲÓÃÕý³£²Ù×÷µÄ±äÒìÀ´´ïµ½Ò»¶¨µÄ´´×÷ÒªÇó¡£

ƽ£¬ÊÇÖ¸ÉãÓ°»­Ãæ£¬ÌØ±ðÊÇÓÐÖ±Á¢ÎïÌåµÄ»­Ãæ¶¼Ó¦±£³Öˮƽ¡£ÊµÏÖÕâÒ»ÒªÇó¿ÉÒÔ½èÖú»úÉíÉÏ»òÖ§¼ÜÉϵÄˮƽÒÇÀ´½øÐмì²é¡¢Ð£×¼¡£

×¼£¬Ê×ÏÈÊÇָȡ¾°×¼È·£¬ÌرðÊÇÔ˶¯ÉãÓ°µÄÖÕÖ¹»­Ã棬Îñ±Ø×öµ½·¶Î§×¼È·¡£Æä´ÎÊDZ£Ö¤Ó°ÏñÇåÎú£¬ÆðÂëÒª×öµ½Ð£¾à׼ȷ¡£Ô˶¯ÉãÓ°£¬Òª°´ÕÕ¡°¸Ïǰ²»¸Ïºó¡±µÄÔ­Ôò£¬°ÑÉãÓ°»úÉϵľàÀë±ê³ßУ׼µ½±»ÉãÌå¼´½«´¦ÔÚµÄÎï¾àÉÏ£¬»¹Ó¦×¼È·Ñ¡ÔñÉãÓ°»úµÄÔ˶¯£¨ÍÆ¡¢À­¡¢¸ú¡¢Ò¡£©ËÙ¶È¡£

ÎÈ£¬ÎÞÂÛÊǹ̶¨ÅÄÉã»òÊÇÔ˶¯ÉãÓ°£¬¶¼Ó¦µ±±£³Ö»­ÃæÎȶ¨£¬±ÜÃâ¶¶¶¯¡£ÊµÏÖÕâÒ»ÒªÇ󣬼ÈӦעÒâÉãÓ°»ú»úеÐÔÄÜÕý³££¬Ò²Òª×öµ½ÅÄÉã²Ù×÷ÕýÈ·£¬»¹Òª±£³ÖÖ§¼Ü¡¢Òƶ¯¡¢Éý½µµÈÉãÓ°¸¨ÖúÉ豸ÐÔÄÜÁ¼ºÃÓëʹÓõõ±¡£

ÔÈ£¬ÕâÊǶÔÔ˶¯ÉãÓ°µÄ¹²Í¬ÒªÇó£ºÉãÓ°»úÔ˶¯½Ú×àÒª¾ùÔÈ£¬ÉãÓ°»úÆð¶¯Ö®ºóÓëÍ£Ö¹Ô˶¯Ö®Ç°µÄÔ˶¯ËÙÂÊÓ¦ºÍ»º£»°éËæÔ˶¯ÉãӰʱ£¬ÉãÓ°»úÓëÔ˶¯¶ÔÏóӦͬ²½¡£

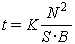
µçÓ°ÉãÓ°ÆØ¹âÊǼ¼Êõ´¦ÀíÓë¼¼Êõ¿ØÖƵĹؼü£¬ÊÇÒÔ¾°ÎïÁÁ¶È (B)£¨»ò¾°ÎïËù½ÓÊܵÄÕÕ¶È£©Ó뽺ƬµÄ¸Ð¹â¶È(s)ΪÒÀ¾Ý£¬¶Ôµ÷½ÚÆØ¹âʱ¼ä(t)µÄ»ú¼þºÍµ÷½Ú½ºÆ¬ÉÏµÄÆ½¾ùÕնȵĹâ¿×ºÅÂ루N£¬ÓֳƹâȦϵÊý£©ÊµÐеÄ×ۺϿØÖÆ¡£ÆØ¹âµÄÒÀ¾ÝºÍÆØ¹âµÄ;¾¶ÌåÏÖÔÚÉãÓ°ÆØ¹âÍÆËã±í¸ñ¡¢ÐýÅÌÉϵÄ×éºÏ¹ØÏµÊÇ£º

ÉãÓ°ÆØ¹âµÄÇ¡µ±ÊµÏÖ£¬È¡¾öÓÚ¶Ô¹âÇ¿µÄÕýÈ·ÕÆÎպͶԽºÆ¬¸Ð¹â¶ÈµÄ׼ȷ¿ØÖÆ¡£¶Ô¹âÇ¿µÄÕÆÎÕ¾­ÀúÁ˹À¼Æ¹âÔ´Ìõ¼þ£¨Èç°ÑÍâ¾°ÕÕÃ÷·ÖΪ¡°Ç¿ÁÒÖç¹â¡±¡¢¡°ÈÕ¹âëüëÊ¡±¡¢¡°ÁÁÔÆÕÚÈÕ¡±¡¢¡°Å¨Ôƻްµ¡±;°ÑÄÚ¾°·ÖΪ¡°´°Ãæ´óС¡±¡¢¡°Àë´°Ô¶½ü¡±£©ºÍ»·¾³ÒòËØ£¨Èç¾°Îï´¦¡°±ÎÒñÏ¡±£¬»¹ÊÇÔÚ¡°¿ª³¨¡±Ìõ¼þÏ£©Ö®ºó£¬´Ó1928Äê¹âµçÔª¼þ¿ªÊ¼ÓÃÓÚ¹â¶È¼ÆÁ¿Ö®ºó£¬ÓÉÖ÷¹Û¹À¼Æ£¬½øÈëÁ˿͹۹â¶È¼ÆÁ¿¡£¸÷¹úÏà¼Ì²úÉúÁ˶àÖÖÀàÐ͵ļÆÁ¿ÕÕ¶È¡¢¼ÆÁ¿ÁÁ¶ÈÒÔ¼°ÕÕ¶È¡¢ÁÁ¶È¼æÓÃµÄÆØ¹â¼Æ¡£Î¢µç×Ó¼¼Êõ³É¹¦µØÓ¦ÓÃÓÚÆØ¹â¼ÆÁ¿Ö®ºó£¬Ö±½ÓÔÚÆØ¹â¼ÆµÄÒº¾§°åÉÏ¶à·½ÃæµØÏÔÊ¾ÆØ¹â¿ØÖƵĸ÷ÖÖ²ÎÊý¡£

ÕÕÃ÷

ÊǵçÓ°ÉãÓ°µÄÖØÒª×é³É²¿·Ö£¬ÔÚÒÕÊõÉÏ£¬ÕÕÃ÷ÊֶοÉÒÔÇ¿µ÷»­ÃæµÄijһ²¿·Ö»òÔì³ÉÌØ¶¨µÄÃ÷°µÐ§¹û£¬´ïµ½ºæÍС¢äÖȾ¡¢°ý±áµÈÄ¿µÄ£»ÔÚ¼¼ÊõÉÏ£¬Ëü¿ÉÒÔÂú×ãµçÓ°ÉãÓ°»ú£¨ÌرðÊǸ÷Àྵͷ£©ºÍ½ºÆ¬µÄ¼¼ÊõÒªÇó¡£½ü¼¸Ê®ÄêÀ´£¬ÕÕÃ÷ÔÚ¼¼ÊõÉϵĽø²½£¬Ö÷Òª±íÏÖÔÚµçÓ°¹âÔ´ºÍµçÓ°µÆ¾ßÆ·ÖÖÓëÐÔÄܵķ¢Õ¹ÉÏ¡£

µçÓ°ÉãÓ°»¹É漰ƬÐÍÌåϵ£¬°üÀ¨35ºÁÃ×µçÓ°ÉãÓ°¡¢16ºÁÃ×µçÓ°ÉãÓ°¡¢70£¨65£©ºÁÃ×µçÓ°ÉãÓ°¡¢È«¾°»ò»·Ä»µçÓ°ÉãÓ°ÒÔ¼°ÆäËûÌØÊâÆ¬Ð͵ÄÉãÓ°¡£ÔÚÏÖ´úµçÓ°ÉãÓ°ÖУ¬Ô½À´Ô½ÖØÊÓ¸÷ƬÐ͵Äת»»£¬ÒÔÀ©´ó·¢ÐзÅÓ³µÄÇþµÀ¡£

Ï´Ó¡

µçÓ°ÉãÓ°ÆØ¹â׼ȷ¿ØÖƵÄÌåÏÖÊÇµ×Æ¬ÉϵÄÃܶȡ¢Ó°µ÷µÄÊÊÖС£Òª´ïµ½ÕâÒ»ÒªÇ󣬱ØÐë׼ȷ¿ØÖƸºÆ¬µÄÏ´Ó¡¼Ó¹¤£¬ÌرðÊǸºÆ¬ÏÔÓ°¡£µçÓ°¸ºÆ¬µÄÏÔÓ°¿ÉÒÔͨ¹ý¶ÔÏÔÓ°Òº³É·Ö¡¢ÏÔӰζȡ¢ÏÔӰʱ¼ä¡¢ÏÔÓ°ÒºµÄÑ­»·¼°²¹³äʵÐÐÑϸñµÄ¶¨Á¿²â¶¨ºÍ¿ØÖÆÀ´±£Ö¤ÉãÓ°»­ÃæµÄ¼¼ÊõÖÊÁ¿ÓëÒÕÊõЧ¹û£¨¼ûµçÓ°Ï´Ó¡£©¡£

·ÅÓ³

µçÓ°·ÅÓ³¹ý³ÌÊǵçÓ°ÒÕÊõ´´×÷Óë¼¼Êõ¿ØÖƵijɹûÓë¹ÛÖÚ¼ûÃæµÄ¹ý³Ì£¬Õâ¸ö¹ý³ÌµÄ¾ßÌåÌõ¼þ©¤©¤ÈçµçÓ°·ÅÓ³»ú£¨ÌرðÊÇ·ÅÓ³¾µÍ·£©¡¢ÒøÄ»ºÍ·ÅÓ³³¡ËùµÄ¹âѧÌõ¼þ£¬²»½öÖ±½ÓÓ°Ïì¹Û¿´µ½µÄ»­ÃæµÄÒÕÊõЧ¹ûÓë¼¼ÊõÖÊÁ¿£¬¶øÇÒÊÇÅÄÉã¹ý³ÌÓëÏ´Ó¡¹ý³ÌÖУ¬ÔÚ½øÐÐÔìÐÍÒÕÊõ´¦ÀíÓë¼¼Êõ¿ØÖÆÊ±£¬±ØÐ뿼ÂǵÄÖØÒªÒòËØ¡£