行为财务(Behavioralcorporatefinance)的基本假设是股票市场非理性,股票定价偏离公司的真实价值。它关注的主要问题是当股票的市场价格偏离公司的真实价值时,致力于实现公司真实价值最大化的理性管理者在融资活动中将会如何决策,即市场时机的作用。所谓市场时机(Equitymarkettiming)是指在股价被高估的时候发行权益进行融资,股价被低估的时候则回购权益(Stein,1996)。在对融资决策的分析中,Jung,Kim和Stulz(1996),以及Hovakimian,Opler和Titman(2001)都发现新股的增发(SeasonEquityIssue)总是伴随着公司股票的市场高价而出现,类似的情况也出现在公司的首次公开发行中(Loughran,Ritter和Rydqvist,1994;Pagano,Panetta和Zingales,1998);而Ikenberry,Lakonishok和Vermaelen(1995)证明了公司在低股价时的回购行为。随着股票市场价格水平的高低变化,融资时机确实能够对股票的投资回报,即公司股权融资的成本产生影响,Lakonishok等(1994)及Baker和Wurgler(2000)指出,股票增发是对未来股票投资回报的可靠预测指标。因此管理者的融资决策会受到相应的影响,他们会选择时机,在股价跌回实际估价水平之前的高点增发股票。Graham和Harvey(2001)对300多家美国公司的管理者进行问卷调查结果表明,2/3的公司首席财务官认为公司股价被高估或者低估的程度是进行融资决策的重要考虑因素E93。Baker和Wurgler(2002)还对公司的历史市值对资本结构的影响进行了研究。
中国上市公司的融资环境和实际融资顺序与国外成熟市场存在巨大的差别,公司偏好股权融资的现象已经不能用Myers(1984)传统的融资优序理论Ll”来解释。那么市场时机理论能否运用于中国的实际情况并具有良好的解释力需要实证研究的支持,这就促使了本文研究的开展。本文的研究部分沿用了Baker和Wurgler(2002)的思路,便于在分析中国公司的同时对比国际发达市场。
一、数据采样及说明
本文的研究对象为1993~2003年11年间在中国上海和深圳上市的A股公司,其财务数据、股本结构数据以及市场交易数据都来自于“天软金融分析”软件数据库(深圳市天软科技开发有限公司)。样本还扣除金融行业以及数据不完全的公司,剔除发行B股和H股的公司样本(数据库中无法提供B股和H股的收盘价,经统计截止到2003年年底发行B股和H股的公司为94家),实际样本公司为1086家,且其流通股都为A股。
所有财务数据、股本数据以及市场交易数据都采用年末数据。所谓年末,是指样本年的12月31日,如果当年该日不开盘,则采用前一次收盘价和后一次收盘价的平均数。另外,在具体的计算中还排除账面杠杆大于1或小于0的公司,因为从账面值来看,前者表示资不抵债,后者可能是数据异常。
数据变量解释说明见表1。由于中国上市公司的股本结构复杂,因此在一些变量的计算中采用了与国际不同的替代方法。

变量的计算根据中国上市公司的实际股本结构情况进行调整。对于权益而言,账面值和市场值区别主要就在于流通股的账面与市值之间的差别,在计算权益的市场值时,包含了流通股的市场值和不流通股的账面值。
二、描述性统计结果
公司在上市之后,其融资的方式相比上市前有了很大改变,主要是能够通过股票市场进行融资。尤其是在中国,债券市场很不发达,因此外部融资除了向金融机构贷款就主要是在股票市场上融资,所以上市前后公司的资本结构可能会有较大的差别。但是,这种差别是否会像权衡理论描述的那样为暂时的,很快又回复到最优资本结构;或者是这种差别的不断累积在较长时间内会对上市公司的资本结构产生影响。为了反映时间的累积对中国上市公司资本结构和融资方式的影响以及纵向趋势,这里对样本公司的杠杆以及各项融资方式进行描述性统计,见表2Pre—IPO到IP0+10分别代表上市前1年,上市当
年,上市后1年,??,上市后10年。它主要反映随着上市时间的累积,中国上市公司的资本结构变动(用账面杠杆和市值杠杆来表示)和融资方式选择(用债务的变动、权益的发行和留存收益的变动来表示)的趋势。
表2显示:(1)公司在上市当年资本结构随着公司新
股上市大幅下降,权益的净发行(32.5%)远远超过了负债
的增加(4.17)和留存收益的增加(2.85%)。(2)随后资
本结构逐年增加,到上市后第5年时,账面杠杆恢复到上
市以前的水平(45.74%),说明IPO对于公司资本结构的
影响不会在短期内很快消失,但也不像国外成熟资本市场
有超过10年的长期影响。和Baker和Wurgler(2002)的结
果相反,市值杠杆上升的幅度并没有账面杠杆上升的幅度
大,这说明中国公司的市场价格的增长幅度从总体而言是要高于Baker和Wurgler的样本价格增长幅度的。(3)从
公司选择融资工具的角度来看,上市公司的选择结果具有
振荡性。上市发行大量新股以后会普遍选择债务融资。在
IP0+1年中,总资产的增加中平均有78.77来自债务
增加,只有13.9来自于权益的发行而到IPO+3年,
权益融资的选择(6.16)又超过了债务融资的选择
(4.38),以后振荡减弱,债务和权益的变动率逐渐恢复
平稳。(4)市值账面比与权益净发行率基本上同向变动,即
当公司的市场价值高出账面价值的程度越大,公司就越倾
向于权益融资。

三、融资工具选择的决定因素
(1)假设说明与检验式
公司选择融资工具进行融资反映在账面上,就是杠杆
的变化,促使这种变化的因素可能是债务的变化、股权融
资的变化以及留存收益的变化,因此首先分析公司总体的
杠杆变动的决定因素;再将杠杆的总体变动分解成为股权
融资的变化、留存收益的变化以及由于权益、负债和留存
收益变化共同引发的总资产增长三项,分析各种因素对不
同融资方式选择的影响程度。
根据市场时机理论,由于存在投资者的错误定价,市
值账面比能够反映公司股票市场定价的误差以及投资机
会的大小,如果管理者能够据此正确判断市场价值是否被
高估或者低估,那么可能以此为依据来选择融资工具,因
此把该变量作为融资工具选择决策的解释变量予以重点
检验和比较分析另外,与Rajan和Zingales(1995)以及
Baker和Wurgler(2002)一样,资产的实物性、公司的盈利
能力以及公司规模也纳人影响资本结构的控制变量,在上
述两篇文章和黄贵海和宋敏(2004)的研究中都发现,
这三个因素与资本结构是有显著联系的。此外,加人行业
虚拟变量(IND),用来控制行业因素的影响。
根据市场时机理论,高市值账面比的公司对应相对较
低的股权融资成本,所以公司愿意在高价时候发行股票。
在低价的时候回购股票,市值账面比与公司的杠杆变动负
相关(M/B)。
公司盈利能力对融资行为而言:1)公司的盈利能力反映了公司的内部融资能力,根据融资优序理论,高盈利
能力能够带来较多的留存收益,与公司的杠杆变动负相
关。2)根据代理理论(Jensen,1986m),高盈利能力的公
司具有更多的自由现金流问题,要加强公司管理的有效性
就可能需要更多的负债,因此盈利能力和公司的杠杆变动
正相关(Prof)
从抵押贷款的角度来考虑的,资产实物性越大,债务
融资的能力越强(T)
小公司比大公司更容易陷如财务危机,规模与杠杆变
动正相关(1ogA)。
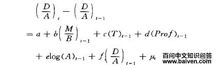
综合上述,得到检验式(1):

式(1)中的控制变量将上一年的杠杆也包含在内,是因为
不考虑其他因素时,当杠杆趋近0或1的边界值时,杠杆
会朝着一个方向变化。如果不考虑上年的杠杆值,则可能
会使得其他变量的效果变得不太明显。
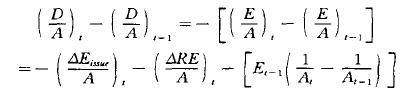
将式(1)的左侧分解,得到式(2)。杠杆的变动分解成
权益的发行、留存收益的变动以及由于资产增长引起杠杆
的剩余变动三个部分。

(2)融资工具选择及其决定因素
回归结果见表3,表4,表5和表6
1)总体杠杆变动的影响因素
表3显示了与Fama和French(2000)。Hovakimian,
Opler和Titman(2001),Baker和Wurgler(2002)的研究大
相径庭的结果。首先,市值账面比的系数并没有在所有年
份出现预期的负值。即在中国市场上,市值账面比高的公
司在融资选择的时候不一定会拒绝选择债务融资,只有上
市后1年的公司(IPO+1)会出现这样显著的负相关关系
(b=5.671,t(b)=-5.732)。说明一些高市值账面比的公
司同时也具有很好的发展机会,对投资资金需求的上升使
得它们不仅加大股权融资,同时也可能增加债务和其他方
式的融资。
其次,资产的有形性对与杠杆的变动呈现了与理论预
期和国外实证研究相反的结果,系数都为负数。这可能是
因为总负债中的非长期债务部分不需要抵押。
从盈利能力对杠杆变动的影响来看,盈利好的企业
的确会相应降低杠杆(这就拒绝了代理理论中的假设),
但不是因为增加留存收益而降低杠杆。表4显示盈利能力
表现出与权益融资非常显著的正相关关系(最小t(d)为
3.839,最大t(d)为11.464)。表5中,盈利能力与留存收
益的变动只在IPO+2和IPO+3年呈现出负向关系,其
余年份都不显著。说明盈利能力强的公司,并不一定会选
择留存收益,它更愿意发行权益进行外部融资,这与传统
的融资优序发生了根本性的冲突。究其原因,可能是因为
盈利能力越强的公司更容易满足配股或增发新股的要求,
在股市上价格会越高,相应的股票融资的成本将会越低,
尤其在中国股票市场融资的预算软约束的情况下,外部股
票融资的成本会低于内部留存收益融资的成本,出现这种
情况也说明了中国股票市场上存在很大泡沫。
最后,公司的规模也不对杠杆的变动大小具有稳定的
正向影响。因为虽然公司规模大,相应的破产成本会小,但
是它对融资的多少是不具有绝对的正向影响作用。
2)融资工具选择的决定因素
虽然在杠杆总体短期变动的决定因素中无法确定市
值账面比的作用,但表4显示市值账面比对权益融资选择
有着重要的正影响。除了在IPO+7年出现异常以外,其
余各年市值账面比的系数都在5的显著水平下通过了t
检验。这说明当具有高市值账面比的时候,公司往往倾向
于发行股票进行融资。表5和表6表明市值账面比对公司
留存收益的变动和由资产增加所引发的杠杆变动都无法
产生稳定的影响,所以反映在表3中短期的市场时机因素
对杠杆的变动无稳定影响。
另外,盈利能力的升高并不是通过留存收益的增加而
影响杠杆变动的(见表6中的系数d,只有IPO+2和IPO
+5年通过了检验),相反,公司的盈利能力升高后,管理
者反倒更愿意通过发行股权来进行外部融资(见表4中的
系数,在5%的水平下,都显著为正),这是与国外研究结
果显著不同的地方。
资产的有形性和公司规模对权益融资决策的影响没
有稳定影响;回归方程所考虑五大因素对于留存收益的选
择都没有影响;市值账面比、资产有形性和公司规模对杠
杆的剩余变动的影响也不稳定


注:上面四表中括号里的值为系数的t检验值。根据回归方程的R2和F值的相伴概率判定,在5的显著水平下,IPO+10年中的杠杆变动、留存收益选择以及杠杆的剩余变动,和IPO+5年的留存收益选择的回归方程中自变量和因变量不存在统计数据的线性回归关系,在表中用斜体表明。*表示在5的显著水平下,系数不异于0。
实证结果表明,中国上市公司的融资环境的确存在着
与国外成熟市场显著不同的地方,中国上市公司选择融资
工具要考虑的因素与其他成熟市场中的公司是不相同的。
但是,市值账面比所代表的市场时机因素确实能够在短期
内(一年)影响中国上市公司的股权融资选择。
主要结论
中国公司的实际融资环境与传统的理论假设具有很
大差距,市场也并非始终有效,本文主要针对市场时机理
论及市场价格对中国上市公司融资工具选择的影响进行
实证计量分析,得到如下主要结论:
(1)中国上市公司选择融资工具时考虑的因素与其他
成熟市场中的公司是很不相同的,但是当以市值账面比来
衡量管理者预测到的市场时机时,这个因素确实能够对公
司的股权融资产生显著的正向影响。从短期来看,一旦管
理者认为公司的市场价格偏高,在融资工具的选择上就会
偏向权益融资。另一方面,市场价格高的公司也并不会因
此拒绝债务融资等其他方式,因为一些高市值账面比的公
司同时也具有很好的发展机会,对投资资金需求的上升使
得它们不仅加大股权融资,同时也可能增加债务和其他方
式的融资。
(2)盈利好的上市公司会相应降低杠杆,但它不一定
选择留存收益这种内部融资方式,它更愿意发行权益进行
外部融资。究其原因,是因为盈利能力越强的公司更容易
满足配股或增发的要求,而且在股市上价格会越高,相应
的股票的成本将会越低。尤其在中国股票市场融资预算软
约束的情况下,外部股票融资的成本会低于内部留存收益
融资的成本,出现这种情况也说明了中国股票市场上存在
很大泡沫,股权融资成本低,因此上市公司具有对股权融
资的偏好。














