[拼音]:lianfenshu
[外文]:continued fraction
繁分数
叫做有限连分数。常简记为[α0,α1,…,αn]。当α0是整数、α1,…,αn是正整数时,则叫做有限简单连分数,当n无限时,[α0,α1,…]称为无限简单连分数。通常连分数均指简单连分数。给定一有理数
,用熟知的辗转相除法,可展成有限连分数即
,其中α0,α1,…,αN是辗转相除法中依次得到的不完全商,规定αN>1,则表法惟一。如果α是一个无理数,那么α可展成无限连分数,且表法惟一。反之,一有限连分数表一有理数,一无限连分数表一无理数。
在连分数[α0,α1,…,αn,…]中取
而写
,叫做连分数[α0,α1,…,αn,…]的第n个渐近分数。 定义αń=[αn,αn+1,…]为连分数[α0,α1,…,αn,…]的第n个完全商。
渐近分数有如下简单关系:
(1)


(2)


(3)(pn,qn)=1和qn≥n (n≥2)
(4)
由此可得
存在;
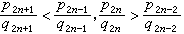
(5)设α =[α0,α1,…,αn,…],n≥1,0<q≤qn,且
,则
,故在分母不大于qn的诸分数中,
与α最接近;
(6)设α=[α0,α1,…,αn,…],则
;反之,若有一个有理数
适合
,则
必为α的某个渐近分数。
完全商有如下简单性质:
(1)
,一般地,
;
(2)αn=[αń],n=0,1,2,…,由此可推出实数展成连分数时表法惟一。该实数为有理数时,规定最后一个αN>1。
循环连分数设α=[α0,α1,…,αn,…],如果l≥m时,对某个固定的正整数k,有αl=αl+k,那么这样的连分数叫做循环连分数,这种最小的 k叫做它的周期,记为 
。例如
等。运用渐近分数、完全商的性质以及抽屉原理,J.-L.拉格朗日证明了有关循环连分数的一个重要定理:一个连分数为循环连分数,则此数是某个有理系数的二次不可约多项式的根;反之亦然。
当D>0且不是平方数,则
,其中函数[x]表示不超过x的最大整数。此外,设佩尔方程x2-Dy2=1的最小解为ε,则
的周期k满足
。
连分数有许多应用。例如:
(1)1891年,A.胡尔维茨证明了:在α 的三个连续渐近分数中必有一个适合
。由此可得,任一无理数α,有无穷多个有理数
。式中
是最佳的,即设
,则必有一无理数α,使
不能有无穷多个解,如
就是这样一个数;
(2)设D>0且不是平方数,
之连分数展开式中αń可表为
,此处Pn及Qn皆为整数。设n是最小的正整数,使(-1)n-1Qn=1,则x=pn-1,y=qn-1是佩尔方程x2-Dy2=1的最小解;
(3)利用连分数可以证明数论中一个著名的定理:设素数p呏1(mod4),则p可表为二整数的平方和;
(4)在近似计算方面,如求多项式的根的近似值,等等。