[拼音]:tu de bianxing
[外文]:deformation of soil
土在力的作用下产生体积或形状变化的现象,是土对作用力的反应的第一个阶段。人类的建筑活动使土所承受的力主要是压力和剪力,土也将因之发生相应的压缩变形和剪切变形。
压缩变形
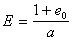
地基土在建筑物荷载作用下的主要变形形式。自然界中的土是一种多孔分散体系,孔隙由水和空气充填。在建筑物的实际荷载作用下矿物颗粒和水的体积压缩变形量可以忽略不计,因而土的压缩变形实质上是随着空气或水的逸出,颗粒移动而使孔隙体积减小造成的。压力与孔隙体积之间为对数曲线关系。由于一般建筑物对地基土压力变化不大,故通常将与此相应的曲线段看作直线,可以表述为:在压力变化不大的条件下, 孔隙比的变化(△e)与压应力的变化(△σ)成正比,△e=α△σ,式中α为压缩系数。此即压缩定律。α和压缩模量(
,式中e0为原始孔隙比)都是表征土的可压缩性的指标,可用取样或原位试验方法确定(见岩土试验)。
土的可压缩性随土的粒度不同而有明显的差异。粗粒土在静荷载作用下不易变形,压缩过程很短,但对动荷载的作用甚为敏感,变形量显著增大。细粒土的变形量大,压缩过程也长,虽然对荷载的性质一般不很敏感,但动荷载能够显著增加某些触变性粘土的变形量。原处于水力平衡状态的饱水土在均布荷载作用下,开始瞬间,压力全部由水承受,引起孔隙水压力(土力学中也称中性压力)。水承压后向外排出,压力向颗粒转移,颗粒所承受的压力称为有效压力。颗粒在有效压力作用下发生移动,使孔隙体积减小,土即发生压缩变形。对饱水粘性土来说,这种在不变的压力作用下孔隙水压力逐渐减小而有效压力不断增大,水不断排出以致土不断发生压缩变形的过程,称为固结过程。固结过程的长短,主要取决于土的渗透性能,这是厚层粘土固结过程很长的根本原因。用土在一定压力作用下某时间内的变形量(St)与最终变形量(S∞)之比表示土体在某时段的固结程度,称为固结系数。
剪切变形
土的剪切变形多发生在地基土接近破坏的阶段,以及组成斜坡的粘性土中。粘性土在不变的荷载作用下可以发生长期而缓慢的剪切变形,称为剪切蠕变。这是颗粒在剪力作用下产生的缓慢滑移。由剪切蠕变导致破坏是粘性土斜坡破坏的主要方式之一。
此外,在自然或人为因素的作用下,土中的水分增、减,以及水对土中固体物质溶蚀或冲蚀,也可使土相应地发生膨胀、收缩,以及湿陷或潜蚀变形。