[拼音]:Apei’er fangcheng
[外文]:Appell equations
适用于非完整系统(见约束)的动力学方程。此方程为
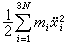
式中G为吉布斯函数,这个函数式是用准(或赝)加速度
表示的加速度动能式
;πi是准坐标(或赝坐标),N是自由度,
是对应于
的广义力。
应用阿佩尔动力学方程的方便之处是:当推导G函数的时候,若发现不会出现含
项时便可以略去不写,这样使推导大为简化。因为当施行
运算时,这些项不会在动力学方程中出现。
准坐标(或赝坐标)的意义是:设有一个非完整系统,它有n个质点,并有h个有限约束和k个微分约束。这个系统的质点共有3n个直角坐标(x1,x2,…,x3n),利用h个有限约束
fi(x1,x2,…,x3n;t)=0 (i=1,2,…,h)
可将其中h个xj消去,也就是说3n个变量中只有3n-h=m个变量是独立的,所以这系统可用m个变量q1,q2,…,qm来描述。k个微分约束也可以改用q1,q2,…,qm和妜1,妜2…,妜m来表示。由于k(m)个微分约束存在,这m个妜1,妜2,…,妜m也不是独立的,独立微分变量只有m-k=N个。这样就可以用N 个独立的微分变量
1,
2,…,
N来表示妜1,妜2,…,妜m,即妜j=F(
1,
2,…,
N),由于规定这些微分约束是不可积的(否则可将它积分成有限约束),所以无法求出π1,π2,…,πN,甚至有时不存在这样的某些坐标,因此称这些坐标为准坐标(或赝坐标)。
由于完整系统(见约束)可看成非完整系统的特例(微分约束个数k=0),所以凡是适用于非完整系统的动力学方程,也适用于完整系统。此时准坐标(或赝坐标)就是广义坐标,“准(或赝)”字也就失去了意义。