[拼音]:gong’e hanshu
[外文]:conjugate function
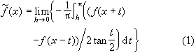
对于周期为 2π的勒贝格可积函数 ƒ(x)(以下记为ƒ∈l1(-π ,π)),积分
几乎处处存在。函数愝(x)称为ƒ(x)的共轭函数。愝(x)未必属于l1(-π,π),例如
是某个ƒ∈l1(-π,π)的傅里叶级数,但ƒ的共轭函数
logn却不属于l1(-π,π)。然而,当ƒ∈lp(p>1)时,有
,就是说,愝∈lp,这是著名的里斯定理。
共轭函数的概念和单位圆内解析函数的理论有密切关系。假设
(2)
是ƒ ∈l1(-π,π)的傅里叶级数,记为σ[ƒ]。置сk=αk-ibk,那么级数(2)就是幂级数
(3)
在单位圆周z=eix(0≤x≤2π)上的实部。它的虚部
(4)
就是ƒ的共轭级数,记为σ[ƒ]。在一定条件下,它是共轭函数愝(x)的傅里叶级数。共轭函数的性质与傅里叶级数σ[ƒ]的收敛性有密切关系。
以幂级数(3)为桥梁,傅里叶级数σ[ƒ]的许多性质,可以借助于圆内解析函数的理论来推导。这是因为级数(3)在单位圆内是一个解析函数F(z),而解析函数是强有力的理论工具,ƒ(x)与愝(x)的许多深刻的性质便可以通过对F(z)的研究得出。这种方法称为傅里叶分析中的复变函数论方法。例如积分(1)的存在性,以及上述里斯定理的证明都是通过这种方法得到的,它对傅里叶级数理论的发展有着重要意义。