[拼音]:dengliziti yaqiang he ci yaqiang
[外文]:plasma pressure and magnetic pressure
在流体近似下,可以把等离子体看成是彼此相互作用的电子和离子两种气体的混合物。它们各具有动力压强,上述两种气体成分的分压强之和P=k(niTi+neTe)称为等离子体压强,k是玻耳兹曼常数,角标i、e分别表示离子和电子。
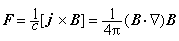
经常遇到的处在静磁场 B中的等离子体,除了等离子体压强外,它还受到磁力 
作用,j是电流密度。当磁力线是直的并互相平行时,(B·墷)B项等于零,
相当于压强,称为等离子体磁压强。
在等离子体压强和磁压强并存之时,常用参数
表示磁压强的相对重要性。这个参数称为比压。