[拼音]:dianci zhendang he dianxiezhen
[外文]:electromagnetic oscillation and electric resonance
电磁系统中,储能元件内电能与磁能不断相互转换的过程叫做电磁振荡;若系统受到外界周期性的电磁激励,且激励的频率等于系统的自由振荡频率,则系统与激励源间形成电谐振。
产生电磁振荡的最简单的实例是由电阻 R、电感线圈L和电容器C 所组成的振荡回路,使其电容器C中储存的电能与电感线圈 L中储存的磁能不断地相互转换。单回路振荡电路如图1所示,图1a是串联回路,图1b是并联回路。
串联RLC振荡回路中的自由振荡与强迫振荡
若电源电压为e(t),回路中电流为i(t),电容器上的电压为V(t),则可建立如下回路方程
或
。
回路方程中激励电压e(t)为零时,振荡的性质决定于各参数R、L、C 之间的相对数值。
(1)当
时,回路电流和元件上电压都将依时间t按指数规律下降,即因回路电阻太大,回路储存的能量不足以维持振荡一周的消耗,从而不能形成振荡。
(2)当
时,得到一般的自由衰减振荡
,
式中
称为衰减常数,
为有损耗时自由振荡角频率,
为无损耗时的自由振荡角频率或固有频率。
一般常用无量纲量
作为度量回路品质的参数,叫做品质因数。ω0与Q是表征回路特性的重要参数。Q值可表示有损耗时自由振荡角频率对固有频率的偏离程度
。
一般情况下,RLC 回路中Q值均较大, 约为10~105,即使取Q的低值,ω与ω0也只差ω0的0.125%。所以,通常认为单振荡回路的自由振荡频率近似为
式中L的单位为亨,C 的单位为法,f的单位为赫。衰减振荡的衰减因子可表示为
,可见经过一个振荡周期,幅度将衰减e
倍。参数
有时称为对数衰减,而
称为回路的时间常数,通常以τ 表示。
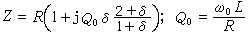
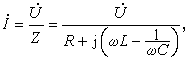
当e(t)≠0时,设外源是按正弦变化的电压源。用相量表示法,回路电流可写为
式中ω=2πf,f是电源的激励频率,
。回路的阻抗 Z可表示为
;是在ω=ω0时回路的Q值;
是回路的相对失谐。δ=0时回路与谐振源间发生谐振,且谐振在回路的固有频率上,这时电感线圈L和电容器C上的电压都等于电源电压的Q0倍。在很多实际应用中,常利用高Q 回路获得高压。δ≠0时,回路失谐,被迫在电源频率f下振荡。这时电流为
,
即失谐时,电流随回路的Q0值和相对失谐δ的增大而下降。在谐振频率(即回路的固有频率)
附近(即δ
1时),有近似关系
。
以Q0δ为横坐标,以
的幅值、实部和虚部为纵坐标,可绘得如图2所示的通用曲线。其峰值在Q0δ=0点,相对幅值等于1。当Q0δ=±1/2 即ω=ω0(1±1/2Q0)时,相对幅值下降到
,功率下降到1/2。这两点称为半功率点。两半功率点之间所覆盖的频率范围称回路的通频带。Q0值越大,则通频带越窄,回路的选择性越好;反之,Q0值越小,则通频带就越宽,回路的选择性越差。
并联 RLC振荡回路的谐振频率与振荡特性
由于电容器的损耗一般很小,图1b中未表出。应用相量法,回路两端的阻抗为
。
使Z的电抗部分为零的频率称为谐振频率,可得并联谐振频率ωb等于
,
可见并联谐振频率fb略小于串联共振频率f0,实际应用中,多认为fb近似等于f0。
谐振时,回路两端阻抗为Zb
,
称并联谐振电阻,它比回路电阻R大Q娿倍。若电源是一恒流源,流入回路的电流为
;电感支路的电流为
;电容支路的电流为
,因
与
近似反相,且
,从而回路中大部分电流呈回流形式,能量在电容与电感之间相互转换,形成电磁振荡。从电源输入回路的功率Q娿RI2仅用来补偿振荡过程中的损耗。
从上述内容可知,当损耗很小时,串联回路与并联回路呈对偶关系。串联谐振时电阻为最小,等于R,回路的电流为最大;并联谐振时电阻近于最大,等于L/CR,回路两端电压为最大。偏离了谐振点,各量均按通用曲线变化,仅纵坐标所指的变量不同而已。
耦合谐振电路与多谐振现象
两个或多个具有相同或不同谐振频率的单振荡回路通过耦合元件相互接连起来,可以构成复杂的振荡系统,这种系统有时又称耦合回路。常用的一些双耦合回路如图3所示。图3a是利用互感M将两个单振荡回路L1C1和L2C2耦合起来的回路。用耦合系数
表示两个单振回路耦合的松紧程度,0<K<1。K值大表示紧耦合,K值小表示松耦合。图4表示两个具有相同的固有频率和品质因数的回路,耦合后在不同的KQ0值下I2/I2m随Q0δ变化的通用曲线, δ的意义与前同。当KQ0=1时, 谐振出现一个最大值的峰点
当KQ0<1时,只有一个小于最大值的峰点;KQ0>1时,则出现双峰。振荡时电能与磁能不仅在一个单回路中相互转换,而且还在回路之间相互转移, 出现了比较复杂的振荡现象。 耦合回路应用广泛,常用于级间的耦合及滤波电路中。