[拼音]:Jiao'er qiti ziyou pengzhang shiyan
[外文]:Joule's experiment of free expansion of gases
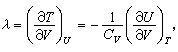
研究气体内能的实验。是J.P.焦耳于1845年完成的。实验装置如下图所示。容器A内装有气体,B抽成真空,盛有水的容器D用绝热壁制成,A、B浸在温度为T的水中,达到热平衡后打开活栓C,气体膨胀而进入B,因气体膨胀时不受阻碍,所以称为自由膨胀。气体因膨胀而改变了体积,从温度计E读数的变化来测定气体内能与体积变化的关系(质量不变)。一般把在等内能过程中因气体自由膨胀时体积V 改变一个单位而引起温度T变化的这种现象称为焦耳效应,而把这个量称为焦耳系数,即
式中U为内能,CV为定容热容。在当时的测量精度下,实验发现λ=0,即气体的内能只是温度的函数,与体积无关,称之为焦耳定律。实验证明,遵守焦耳定律的气体也遵守玻意耳定律(见理想气体状态方程),这种气体叫做理想气体。理想气体的内能只和温度有关,是因为理想气体分子之间与距离有关的相互作用可忽略不计,而实际气体则需计及这部分相互作用。在焦耳实验中,没有观察到气体温度的变化,即内能不随体积变化,这是因为水的热容大,气体内能的变化不能使水温发生可测的变化。