[拼音]:daqi zheshe
[外文]:atmospheric refraction
光在密度不均匀的大气中传播时路径发生曲折的现象。大气折射率和空气密度成正比,一般它是随高度而变小的。大气折射可分成天文折射和地球折射两类。
天文折射来自地球大气以外某目标的光线在大气中的屈折现象。在上稀下密的地球大气层中,天体发出的光因大气折射率的变化而逐渐弯曲,致使观测到的天体位置比实际高。天体愈靠近地平时,这种现象愈加严重,最大可高达半度左右。由于大气对太阳光线的折射,就中纬度而言,白昼延长了8~12分钟。
地球折射来自大气中某目标的光线的屈折现象。由于地球折射,人们从高处远眺时,看到的地平线比实际高一些和远一些。地球折射也是产生海市蜃楼(见大气光象)的原因。大气密度随高度的变化比水平不均匀性显著得多。一般可将密度不同的大气层视为与地球同心的均匀的球面分层介质,即沿着地球表面按不同高度分层,在每一薄层中的大气是均匀的,光线从一薄层进入另一薄层时,因折射率不同,光路发生屈折。设距离地心为r 处的球面层大气,折射率为n ,则天顶角为i的光线通过此球面层时,路径轨迹由折射定律nrsini=常数求得。当天顶角不太大时,大气可用平面分层来处理,此时的光路轨迹可简化为nsini=常数。当天顶角较大,即光路接近地平时,则要考虑地球曲率的作用。
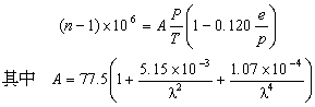
大气折射率和光的波长有关,即大气折射因光的颜色而异,这种效应称大气色散。在光路接近地平时,光在大气中传播的路程加长,色散现象更显著,如黄光(5000埃)和紫光(4000埃)间可有半度左右的色散。在可见光(0.4微米<λ<0.7微米)范围内,折射率n 和气压P(百帕)、水汽压e(百帕)、绝对温度T (K)、波长λ(微米)有如下关系:
湿度对光波的折射率的影响很小,常可略去不计。
由于大气折射使观测目标产生误差,所以在天体测量和大地测量中都要进行大气折射订正;在光学测速、测距的精度要求很高的情况下,大气折射订正也不可少。此外,由于大气温度、湿度、压力等参数随时的变化,引起大气折射率的脉动,使光路有不规则的起伏,可造成远方目标景象的颤动(见光波在湍流大气中的传播)。因此,也可利用颤动的情况来推测大气湍流状况。