[拼音]:kucunlun
[外文]:theory of inventory
研究物资储备的控制策略的理论。在工业、农业、商业、军事以及其他的各行各业中,要想不断维持正常的生产和工作,就必须储备一定数量的所需物资。储量过多,会引起积压,或因存放过久产生变质而造成浪费,占用仓库和需要保持一定人数的维护人员也会带来经济上的损失。但是,储量过少,又会供不应求,在工厂则引起停工待料,在商店则引起顾客转移他处,在农业上和军事上都会因失去时机而造成重大的影响。如何控制物资的库存数量,即何时补充库存,应该补充多少,是库存论的基本课题。
就仓库的管理体系的规模与复杂程度来说,单级管理与多级管理,在处理方法上大不相同。就补充物资的方式来说,是随要随有,还是通过订货后一定时期必然到货,或不一定到货,这些都会对处理方法产生严重的影响。就存储费用方面来说,物资在仓库中可能发生自然的或人为的损耗,可能出现失盗以及保险费、纳税、租金、正常的维护和管理费等等因素,都会引起策略上的差异。在需要方面,也会出现许多不同的情况。库存问题可以分为许多不同的类型,其中有些较易处理,有些较难。如何处理,举例说明如下。
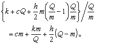
(1)假设有某种零件在生产过程中需求量是稳定的,例如在每单位时间里总共需要 m个这种零件。设在缺少这种零件时可以订货,并且立即得到供应。假定每次的订购的固定费用(如手续费等)是k,一个零件的单价是с,若将多余的零件储存起来,则每一个零件在单位时间内的储存费用为h。试问每次订购多少个零件为合理?
由于这种零件在需要时能立即获得,因此所采取的策略应为:等零件用完时再订购。设一次订购的数量为Q,则订购一次所花费用为k+сQ,至于存储费用,由于订购的Q个零件共在Q/m个单位时间用完,则在第i个单位时间所需要的m个零件的存储费为hm(i-1)。因此总的存储费为
所有这些费用都是在长为Q/m的这段时间里消耗的,因而单位时间的平均费用是
(1)
将(1)对Q求导数后并令其为0,然后解之,得
分别以[Q0]和[Q0]+1代入(1),并比较所得结果的大小,以坴记其中较大者。于是可知,每次订购坴个零件为最合理。
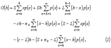
(2)假设有一种货物只在某一时期的开始可以买到。其购进价格每件为с,卖出价格每件为S。设在这一时期卖出x件的概率为p(x)。若在这一时期顾客来买时遇上缺货即转向他处,则因失去顾客而蒙受损失每件为π0。设在这一时期终了没有卖掉的货物可以按每件价格为l(l<с)全部卖出。试问在开始时应购进多少货物可使期望的利润最大?
设购进h件货物,则期望的利润为
使得期望利润达到最大的最小的h,也就是使得差分ΔG(h)>0的最大的h。由于
因此所求之h为使
成立的最大的h。
在库存管理体系中,常用的信息处理方式有两种:一为成交汇报制,一为定期检查制。所谓成交汇报制,是指所有有关的交易诸如顾客的需求、定货、托运、货物的到达、接收、入库等等出现时,立即记录在案,并将信息送与有关主管人员。所谓定期检查制,是指按一定时期(通常是等长),将上述有关数字检查一次。近年来,由于计算机的普遍使用,成交汇报制用得较多,以前则常用定期检查制,因为它所需要的费用较低。
通常所采用的储备控制策略有〈Q,r〉,〈R,r〉,〈R,T〉,〈R,r,T〉等。所谓〈Q,r〉制是指当某种物资库存数量下降到r时,即申请数量为Q的订货。显然,在此种情况,一定时期的需要量必为定数,否则库存不可能正好下降到r,在例①中,r=0,Q=坴。若需求量为随机时,与之相应的是〈R,r〉制,即发现库存数量下降到x≤r时,就申请数量为R-x的订货,以使库存量恢复到R。这里的Q、R、r是根据上述与问题有关的各种因素所建立的数学模型作出决定的。〈Q,r〉与〈R,r〉只适用于成交汇报制。对于定期检查制,则需决定检查周期的长度T。例如,〈R,T〉是指在每隔时间T 就检查一次库存,并申请订货将库存水平上升到R。T 的确定也是根据具体问题所建立的数学模型作出的。
上述例①是最早出现的用数学方法来处理的库存问题,公式⑴称为简单批量公式,是由F.哈里斯于1915年得出的,直到第二次世界大战发生,所考虑的库存问题,基本上仅限于决定性的情形,例②就是在战时得出的。战后,由于成批生产的日益普遍,同时,由于运筹学与管理科学的出现,使库存论相应地得到发展,许多带随机性的模型得到了深入的研究。
最早的专门著作是T.M.惠廷的著作。其后,系统性的著作相继出现。从20世纪50年代开始,就不断有人致力于库存论中的一些理论问题的研究。例如,对于定期检查制,H.E.斯卡夫在某些假设之下证明了〈R,r〉是最优策略。