[拼音]:zhengfa
[外文]:evaporation
温度低于水的沸点时,水汽从水面、冰面或其他含水物质表面逸出的过程。它属于水由液态或固态变为气态的相变过程。从分子运动论的观点来说,水或冰蒸发时,有些水分子因其动能大于其他水分子对它的吸引力,就脱离水面或冰面,进入气相之中。水汽分子的不规则运动,也会使其中一部分撞到水(或冰)面,被水(或冰)所吸收。因此蒸发量就是从水(或冰)面飞出的水汽分子通量与回到水(或冰)面的水汽分子通量的差值。蒸发是气象要素之一。
在自然界中,蒸发是海洋和陆地水分进入大气的惟一途径,是地球水文循环的主要环节之一。
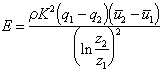
影响因素自然条件下的蒸发是很复杂的,大气边界层中的气象条件对蒸发有明显的影响。风和湍流(见大气湍流)的增强,有利于蒸发面附近潮湿空气的输送和扩散(见大气湍流扩散),可使蒸发速度加快。蒸发率:
式中q1、q2和ū1、ū2分别为高度z1和z2(z2>z1)上的比湿与平均风速,K=0.38为卡曼常数,ρ为空气密度。可见风速梯度愈大,蒸发愈快;水汽含量的梯度愈大,蒸发愈快;另外气温愈高,蒸发速度也愈高。
陆面蒸发包括各种水体(河流、湖泊、水库等)的水面蒸发、土壤蒸发、植物散发、冰雪蒸发和潜水蒸发。陆面蒸发与土壤的结构、含水量以及植物覆盖的情况有关。当土壤有足够水分时,蒸发量主要取决于辐射差额;在干旱的地区或干旱时期,因土壤含水量不足,蒸发量就减少,在沙漠和半沙漠情况下,蒸发量最小。森林地带充分潮湿时,能蒸散出大量的水分;特别是夏季,森林蒸散的水分甚至比水面的蒸发还多。水面蒸发与水的相态(水或冰)、温度、水面大小和水中所含杂质情况有关。较小的蓄水池的水面蒸发比大面积水面快。海洋的蒸发还与海水中所含盐分有关。海水的含盐浓度通常为35‰,空气的相对湿度较低时,含盐浓度对蒸发的影响不大,当相对湿度较高时,影响较大,如相对湿度为90%时,海水的蒸发量仅为淡水的80%;相对湿度为95%时,则为60%。
分布除热带地区外,年蒸发量在全球的分布一般随纬度的增加而减小。但由于其他因素的影响,可能出现异常现象。如海岸线附近,洋面与陆面的蒸发差别很大;大洋中暖流区的蒸发比寒流区的可以大2~3倍。这些都是造成大洋蒸发不按纬向分布的主要原因。此外,大气环流状况对洋面蒸发也有影响。在热带海洋上,赤道低压带附近蒸发比副热带高压地区小;温带大陆的蒸发年变化与海洋上的蒸发年变化相反,大陆上冷季的蒸发比暖季显著减小,而在大洋上,冷季蒸发常比暖季为大。
大气中的水汽是从江河、海洋、湖泊、潮湿的土壤以及植物等表面蒸发出来的。从全球平均情况来看,有效太阳能达 230瓦/米2,其中用于蒸发过程的能量为70瓦/米2,约占地球上来自太阳有效能量的十分之三。大气中水汽的蒸发和凝结所引起的相变潜热的吸收和释放,是大气中能量转换和输送过程的一种重要方式(见大气环流的能量平衡和转换)。
参考文章
- 某企业建设一座冷藏容量为50001的货架式冷库,使用以液氨作为制冷荊的制冷系统。冷藏设计温度在-10丈至-231。某日,叉车司机张某在冷库内作业时突然闻到了氨味,立即向领导报告。经查,泄漏由蒸发器的液氨供液管弯头焊缝缺陷引起。经技术人员查阅图纸、共同讨论后制定了法律题库
- 关于蒸发和沸腾,下列各种说法错误的是知识题库
- ——百多年来,人类活动导致地球不断升温,致使地球大气和海洋温度都比一个世纪前升髙1摄氏度。海洋温度升高,更多水汽蒸发到大知识题库
- 某火力发电厂主厂房有额定蒸发量为1970t/h、额定压力为25.4MPa的锅炉两台,主厂房南400m有1座制氢站,制氢站装有1套制氢设备和6个氢罐,氢罐的工作压力为3.2MPa,体积13.9m3;在主厂房西450m有2个容量1000m3的0号柴油罐(柴油闪点为60℃),主厂房北750m有一座储存有氨生产安全
- 蒸发、结晶法废水处理与资源化利用技术废水治理
- 车间蒸发工开启蒸发进汽阀应注意是什么?制盐
- 为什么进入加热室、蒸发室和大气冷凝器要进行尘毒测定?制盐
- 地膜覆盖对甜菜叶面蒸腾与棵间蒸发有何影响?经济作物
- 蒸发液位调节阀采用什么形式调节阀?它具有哪些优点?制盐
- 蒸发罐液面测量为什么要灌迁移?制盐