[拼音]:cihua qiangdu
[外文]:magnetization
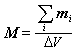
描述媒质磁化状态的物理量。通常用M表示。磁化强度定义为媒质微小体元ΔV内的全部分子磁矩矢量和与ΔV 之比,即
。
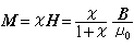
对于顺磁与抗磁介质,无外加磁场时,M恒为零;存在外加磁场时,则有
。
其中H是媒质中的磁场强度,B是磁感应强度,μo是真空磁导率,它等于4π×10-7H/m。ⅹ是磁化率,其值由媒质的性质决定。顺磁质的ⅹ为正,抗磁质的ⅹ为负。如果媒质是各向异性的,则ⅹ为一张量。对于铁磁质,M和B、H之间有复杂的非线性关系(见磁滞回线)。
在国际单位制中,M的单位为安培/米。