[拼音]:shuangqu shouhengl╇ de jianduanjie
[外文]:discontinuous solution of conservation law of hyperbolic equation
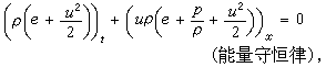
当考察连续介质的运动时,常常导出一阶拟线性双曲型方程组。例如,描述一维理想气体运动的守恒律组:
式中ρ、u、p、e、t、x分别表示密度、速度、压强、内能、时间和空间坐标。对多方气体有状态方程e=p/(r-1)ρ,r>1为绝热指数(常数)。这类方程组的解中,一般要出现间断,解在间断线两旁的左、右极限要满足一定的关系。这些关系反映了力学中的冲击波现象。
(G.F.)B.黎曼1860年提出了一类最典型的含有间断的初值问题,即当t=0时在x=0处初值具有一个任意的间断,而在x>(或<)0时初值分别为常量。这样的问题称为黎曼问题。人们很早就研究了上述守恒律方程组的黎曼问题,它的解由向前或向后运动的冲击波、向前或向后运动的中心疏散波以及接触间断所组成。这些波统称为初等波。
初等波的相互作用也得到了研究。例如,两个反方向运动的冲击波相碰后会互相离去,且在它们中间还将出现一个接触间断。两个同方向运动的冲击波相追总会追上,追上后除合并为一个该方向运动的冲击波外,还将立即产生一个接触间断和一个向反方向运动的冲击波或中心疏散波。在高维的情形还必须注意马赫反射的影响等。
一般的拟线性双曲组为ut+ƒ(u)x=0,其中u=(u1,u2,…,un),ƒ=(ƒ1,ƒ2,…,ƒn),矩阵
(u)有n个相异的实特征根。
理想气体可以认为是实际气体当粘性趋于零时的极限情况。用这种观点来处理拟线性双曲组就建立了所谓“粘性消失法”。E.霍普夫最早用此法严格论证了单个拟线性方程式初值问题解的大范围存在性(1950),以此法为背景,人们还提出了各种差分格式。此外,还有J.冯·诺伊曼等人提出的人工粘性法等等,都是在实际应用中求数值解的常用方法。除气体力学外,间断解理论在弹塑性力学、爆震、燃烧等方面都有重要应用。
高维拟线性双曲型方程组的间断解问题,在应用上极为重要,但对它们的研究还刚刚在开始。