[拼音]:fuhe
[外文]:recombination
气体中正离子同自由电子或负离子碰撞时俘获电子形成中性原子或分子的过程。前者称为电子-离子复合,简称电子复合;后者称为离子-离子复合,简称离子复合。
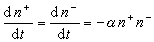
复合是电离的反过程,是气体中使带电粒子数减少的重要过程。气体中电离停止后,单位时间、单位体积内由于复合而消失的带电粒子数与正、负离子或电子的密度n+、n-成正比,即
,
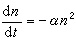
通常n+=n-=n,故
,
比例系数α 称为复合系数,量纲为L3T-1,它是表征复合过程的宏观参量。通常用αe、αi分别表示电子复合系数、离子复合系数。复合几率密切依赖于正、负带电粒子的相对速度。正、负离子的相对速度小,它们有足够时间接近,发生复合的机会通常比电子与离子的要大得多,因而αi比αe要大得多,数量级分别为10-6、10-8~10-10。
电子-离子复合复合能的释放,如果以光子形式发射出来,这种复合过程称为辐射复合;如果转移给第三者(别的原子、分子或电子),则称为三体复合。当存在第三者时,三体复合比辐射复合更为可能。因此,在低气压放电管中,复合通常更多地发生在管壁上,而在高气压情况下,则更多地发生在气体体积内部。此外,当分子、离子同电子复合时,复合能还可能使分子离解,称为离解复合。
离子-离子复合正、负离子间的相对速度与气压密切相关。在低气压下,离子平均自由程很长,相对速度高,即使相遇也不一定能发生复合。然而,英国物理学家J.J.汤姆孙提出,这时如果同附近一个中性分子碰撞,则它们的相对速度将变慢而接近于热速度,离子电场将使它们有足够时间接近,复合便能发生。由此导出,αi与离子的平均自由程成反比,因而随气压增加而增大。在高气压下,正、负离子要经过多次碰撞才能相遇,相对速度低于热速度,其值由它们相互的电场作用下的迁移率决定,所以αi与迁移率成正比,因而随气压增加而减小,这是法国物理学家P.朗之万得到的结果。这两种理论都被实验所证实,αi的最大值出现在大约 1个大气压处。两个慢离子复合时释放的能量几乎等于形成正、负离子时吸收的总能量,即等于正离子的电离能减去负离子的电子亲合势,它可能转移为光子(辐射复合),或转移给第三者(三体复合),也可能在电荷交换复合中成为中性原子的激发能或动能,不过成为动能的可能性很小。
研究复合过程,对于了解电离层的形成和性质,了解太阳日冕、太阳外层大气以及高温等离子体等的行为有重要意义。
参考文章
- 应用于复合式探头系统的探头包括()测控技术
- 下列选项属于功能复合材料的是__。①碳/碳复合材料②水泥基复合材料③导电功能复合材料④电磁功能复合材料知识题库
- 生产力是由多种要素构成的复合系统,其中的实体性要素包括__知识题库
- 中压聚乙烯管和钢骨架聚乙烯复合管道与直埋热水管之间的水平静距不应小于(),且应确保燃气管道周围土壤温度不大于40℃生产安全
- 中压聚乙烯管道和钢骨架聚乙烯复合管道在直埋热力管下方敷设时,垂直净距不应小于()生产安全
- 室内燃气低压管道系统在进行严密性试验时,如试验系统中有不锈钢波纹软管铝塑复合管耐油胶管,那么在试验压力下稳压时间不少于,除对各密封点检查外,还应对外包覆盖层断面是否有渗透现象进行检查。生产安全
- 中压聚乙烯管道和钢骨架聚乙烯复合管道与直埋蒸汽热力管之间的水平净距不应小于()生产安全
- 我国采用复合制的社会主义国家结构形式知识题库
- 钢骨架聚乙烯复合管道敷设采用拖管法时,最大拖拉力不应大于其屈服拉伸应力的()生产安全
- 聚乙烯盘管或钢骨架聚乙烯复合管道采用托管法埋地敷设时,拖拉长度不宜超过()生产安全