[拼音]:pi
[外文]:wedge
具有构成尖锐角度的两个平面形状的坚硬物体,亦称尖劈。利用尖劈可以增大作用力,并改变力的作用方向。中国周口店北京猿人遗址处发现的两面石器是尖劈的原始形式,距今约有40~50万年。出土文物中有新石器时代的石斧、石矛,商周时代的青铜刀器和兵器等。这些都说明尖劈是人类最早发明并广泛使用的一种简单工具。
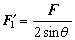
斧是常见的一种尖劈。若作用力F是输入力(图1a),劈开力
(或
)是输出力,如果不考虑摩擦力,应用静力学平衡条件,F、
、
三个力组成的力三角形 ABC必封闭(图1b),由此得
,式中θ是尖劈的尖角的一半。当θ角很小时,sinθ的值也很小,小的输入力F就可产生很大的输出力
(或
),机械利益
。
常利用尖劈的这一性质来推举重物,例如,在重的平台下垫以尖劈,用较小的力把尖劈打入,就能把很重的平台升举起来。
也可以用尖劈来卡紧物件。如果尖劈的锐角充分小,它可以嵌入木头缝或墙缝里,能够在缝里自锁(见摩擦)不掉。在这种情况下,摩擦力起了主要作用,这种现象称为尖劈的摩擦自锁(图2)。略去尖劈的质量后,尖劈只受到两斜面上的两个反作用力
、
的作用,此两力大小相等、方向相反、作用线重合,即满足二力平衡条件。把每一力分解为法线反力N1(N2)和摩擦力Ff,则Ff=N1tgθ。根据静滑动摩擦定律,Ff≤fN,式中f是静滑动摩擦系数,故自锁条件为:
。
要能自锁,尖劈的锐角2θ必须充分小才行。在机床夹具中广泛应用楔形块来锁紧工件;在木器家具中常在榫接处打入木楔,都用了尖劈摩擦自锁的原理。