[拼音]:piandaoshu
[外文]:partial derivative
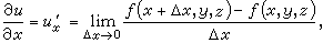
指一个多元函数对于它的某个变元作为惟一自变量(其余变元作为参变量)而言的变化率(导数)。例如三元函数u=ƒ(x,y,z)对x的偏导数是
符号
指示着在导数运算过程
中有参变量存在。
偏导数作为函数与原来函数有相同的变元;它们的偏导数是原来函数的二阶偏导数。二阶偏导数的偏导数是三阶偏导数;以此类推。它们也同导数一样有多种记号便于使用,例如
在出现的高阶偏导数都连续的前提下,它们的数值与先对哪个变元取偏导数的顺序无关。偏导数运算也有连锁法则(见多元微积分学)。