[拼音]:Erenfeisituo fangcheng
[外文]:Ehrenfest's equation
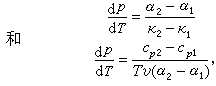
二级平衡相变中,系统的压强随温度变化的关系式,是研究二级相变的基本方程。是由P.厄任费斯脱最先导出的。其表示形式有两种
式中p和T分别为发生二级相变时的压强和温度,сp1和сp2分别为两相的定压比热容,α1和α2分别为两相的热胀系数,k1和k2为等温压缩系数,v为物质在发生二级相变时的比容,
则表示发生二级相变时其压强与温度的关系。
实验发现,发生二级相变时,物质的比热容、热胀系数和压缩系数都发生突变,即
故对于一定的物质在相变温度T时,可由实验测得该物质的v、α1、α2、k1、k2、сp1、сp2等量,于是可由厄任费斯脱方程计算dp/dT,从而可以得到控制相变进行方向所必须的条件。
厄任费斯脱方程的作用相当于一级相变中克拉珀龙方程的作用,在二级相变中它给出平衡曲线斜率公式。
厄任费斯脱方程对于在相变点比热容对数发散的相变不适用。