[拼音]:liebian jingjifa
[外文]:fission track method
根据矿物中 U、Th放射性同位素自发裂变碎片的径迹而计时的一种方法。径迹数目与矿物年龄成正比。矿物中能产生裂变径迹的重核有 238U、235U和232Th。它们的自发裂变半衰期分别是 1.01×1016年、3.5×1017年和大于1021年。所以天然样品中238U的裂径迹约占99.97%以上,而235U和232Th的裂变径迹在年龄测定中可忽略不计。
若假定自发裂变径迹在矿物中的分布是均匀的,则单位体积内的裂变径迹数目(C)与U含量、矿物存在时间及U的自发裂变常数成如下关系
式中238U为每立方厘米样品中238U的原子数,λf为238U的自发裂变常数(6.85×10-17/年),λ为U的总衰变常数,t为矿物年龄。
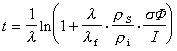
自然状态的裂变径迹非常细小。通过选择适当的化学试剂在一定条件下对矿物磨光面进行腐蚀处理(蚀刻),蚀刻后的径迹,在显微镜下可放大到200~1000倍。若自发裂变径迹和诱发裂变径迹(即通过热中子照射产生的径迹)的蚀刻条件完全相同,则裂变径迹法计算年龄的公式为
式中ρs为在蚀刻表面观察到的径迹密度, ρi为蚀刻后看到的诱发裂变径迹密度,σ 为235U的热中子诱发裂变截面(582×10-24平方厘米),Φ为热中子剂量,I=238U/235U=137.88。
应用此公式计算年龄时须满足下列要求:
(1)自发裂变的半衰期是恒定的;
(2)238U/235U比值是一个常数;
(3)所有的自发裂变径迹是238U产生的,而所有的诱发裂变径迹都是235U经热中子照射诱发产生的;
(4)自发裂变径迹和诱发裂变径迹的蚀刻条件相同;
(5)样品形成以后保持封闭体系。
裂变径迹法测定年龄的样品适应性广,只要样品中产生的自发裂变径迹密度大于1~10/平方厘米,均可选用。如磷灰石、榍石、锆石、白云母等。