[拼音]:daoyi dianzhen
[外文]:reciprocal lattice
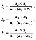
为了便于处理晶体结构同其 X射线衍射效应的关系,最初由P.P.厄瓦耳引进的概念。设原空间点阵的一组基矢为A1、A2、A3,若用下式定义另一组基矢
则由新的一组基矢B1、B2、B3所表示的点阵与原空间点阵有互为倒易的关系,称它是原空间点阵的倒易点阵。上述条件相当于
。
两个互为倒易的点阵之间存在以下关系:
(1)由基矢决定的平行六面体的体积互为倒数,可由下式表示
,
式中
。
(2)原点阵中指数为h、k、l的一族平面垂直于其倒易点阵中以上述指数为系数表示的一条直线 H,即
,而且阵面族的面间距同直线上相邻阵点间的距离成反比。这样,就可以用一个倒阵点来代表正点阵中的阵面族。而倒阵点就可以和衍射图样上的衍射斑点联系起来。
倒易点阵的引入除了解释晶体的 X射线衍射图样外,倒易点阵的概念在固体理论中也非常重要,作出由原点出发的诸倒易点阵矢量的垂直中分平面,则为这些平面所完全封闭的最小体积就是第一布里渊区。固体理论中习用的倒易点阵的尺寸为这里定义的2π倍。