[拼音]:dianci zhiliang he fushe zuni
[外文]:electromagnetic mass and radiation damping
在带电粒子所产生的电磁场中,有一部分是脱离粒子向外辐射的场,称为辐射场,而另一部分则是依附于带电粒子的场,称为带电粒子的自场(见运动带电粒子的电磁场)。辐射场将带走能量,使粒子能量逐渐衰减,因此,它必然会对粒子产生反作用。在经典电动力学中,这种反作用是通过辐射场对粒子的作用力来体现的。这种作用力即为辐射阻尼力。而依附于粒子的场(自场),将使粒子获得一个附加质量,这就是粒子的电磁质量。对于电磁质量这里亦只作经典的讨论。
典型的自场是等速运动粒子的场(静止粒子可作为它的一个特殊情况)。这时辐射场为零。粒子所产生的全部电磁场都属于自场。
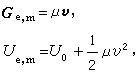
在粒子速度比光速 с小得多的情况(非相对论情况),自场的动量和能量分别等于
式中Uo代表粒子静止时的电场能量,也就是通常所谓的库仑能;μ =4Uo/(3с2)。
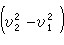
当粒子速度改变时,不仅它自己的动量和能量要改变,依附于它的自场的动量和能量也将随之改变。如果粒子原来的质量为 mo,则当粒子速度自v1改变到v2时,需要供给它的动量和能量就不仅仅是 mo(v2-v1)和
,而应是(mo+μ)(v2-v1)和
。这表明,由于粒子携带着自场,它所表现出的惯性就比原来的大,相当于在原有质量mo之上再加一个质量μ。μ就是粒子的电磁质量。
实验上所测量的带电粒子的质量(称为粒子的物理质量)其实并不是mo,而是mo+μ。这是因为带电粒子总是同它的自场联系在一起,两者不可分离,而原有质量(通常称为裸质量)和电磁质量在物理效果上又是完全相同的缘故。
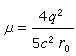
设带电粒子是半径为ro的球体,电荷q按体积均匀分布。这时
,
于是电磁质量的值为
。
如果电荷不是按体积均匀分布的,则 μ的数量级仍将为
,只是前面系数不同。由此可见,如果带电粒子是一个严格的点(点模型),则粒子的物理质量将为无穷大,因而它将完全不能运动。这就是点模型的发散困难。
H.A.洛伦兹和M.阿伯拉罕曾提出这样一种假设:电子的质量可能完全是电磁的,即mo=0,电子的惯性就是它的自场的惯性。这样,在电荷按体积均匀分布的假设下,电子的物理质量m就将为
,其中 e 表示电子的电荷。由此得出ro等于
。此结果中的系数
并无重要意义,因其大小依赖于电荷分布的具体假设。但
却具有典型的意义。它代表在洛伦兹-阿伯拉罕假设下,从经典理论计算出的电子半径的一般量级。因此通常把
称为电子的经典半径。用电子的电荷和质量的数值代入后,得出
ro=2.82×10-13cm。
需要注意,此值并不代表电子的真正大小,这不仅因为“电子的全部物理质量就等于它的电磁质量”本身只是一个假定,更重要的是,对于微观物理问题,经典理论已不能适用。即使电子的电磁质量 μ在量级上与它的物理质量m相同,由于电子和电磁场服从量子规律,经典理论算出的半径值也不可能在量级上是正确的。目前基本粒子物理方面的实验资料,已经指明,电子半径要比10-16厘米还要小。尽管如此,rc是一个由电子的一些基本参量(质量和电荷)和光速с(从相对论观点看来,它是物理学中的一个基本常数)所组成的具有长度量纲的量。在许多公式中rc常作为一个特征长度出现,因此仍然是有用的。
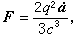
辐射阻尼力可以通过能量守恒关系从带电粒子的能量辐射率导出。对于低速运动的带电粒子,辐射功率为
,
其中a 表示粒子的加速度 (见运动带电粒子的电磁场)。对于带电粒子作周期或准周期运动的情况(如振子辐射或回旋辐射),根据上述辐射功率公式和能量守恒关系,推导出的有效辐射阻尼力为
其中
代表加速度的时间变化率。
一般情况下,辐射阻尼力比电子所受到的外力要弱得多,只当在
这样短促的时间内(rc即为上文中引入的电子经典半径),加速度的改变量达到加速度本身的量级时,辐射阻尼力才与外力可以比拟。而这种条件是很少能满足的。
在经典理论中,通常对原子采用谐振子模型。利用上述辐射阻尼力公式,可以研究谐振电子的阻尼振动。在此情况,辐射阻尼力与电子所受的外力(弹性恢复力)的比值约为
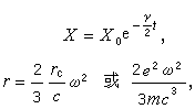
,λ 代表振子辐射波的波长。对于原子发射的可见光来说,λ≈5×10-5cm,上述比值约为10-8的量级。就是对于波长为1┱的X 射线,比值也只有10-4的量级。这表明辐射阻尼确实是很小的。于是,可以用近似的方法来考虑辐射阻尼力的影响。这样得出振子的振幅X随时间衰减的关系为
ω为振子的频率,
代表振子的寿命。
振子的阻尼振动不是严格的周期振动,它所发射的电磁波也将不具有某一个严格的频率,而具有一定的频谱分布,即振子辐射场的谱线将具有一定宽度。对于原子谱线,导致谱线具有宽度的原因有多种,例如原子间的碰撞、多普勒效应等。但这些因素与辐射过程无本质的联系,它们所造成的宽度也是可以设法削减的(例如降低发光气体的密度和温度)。只有辐射阻尼是能量守恒定律的要求,是自然存在的。因此通常把它所造成的宽度称为谱线的自然宽度。用波长表示时,谱线自然宽度的值为
。
它是一个常数,与振子频率无关,但数值很微小。
以上求出的振子谱线的自然宽度值虽然是从经典理论推出来的,但在量子理论中,当跃迁是从谐振子第一激发态到基态时,求出的结果也与此相同。当然,实际的原子并非谐振子,故实际原子谱线的自然宽度与上述值有所不同。