[拼音]:duofang guocheng
[外文]:polytropic process
理想气体状态参量满足方程
pVn=恒量
的状态变化过程。式中p和V分别为气体的压强和体积,n称为多方指数,是常量。实际的热力学过程既不严格地满足等温条件,也不严格地满足绝热条件,在大多数情况下 n取1~γ(γ为定压摩尔热容Cp与定容摩尔热容CV的比值)之间的数值。因此多方过程在热工学中有重要的实际意义,在气象学和天体物理学中也有一定的实用价值。
多方过程的摩尔热容由公式
确定。由上式可知,不同的多方过程有不同的摩尔热容,而且C可以有负值。
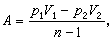
多方过程中系统对外所作的功为
式中各个状态参量分别用脚标“1”和“2”表示始态和终态的相应值。
上图表示了多方过程在各种特殊情况下的p-V关系曲线。