[拼音]:sheying weifen jihexue
[外文]:projective differential geometry
微分几何学的一个分支。是在20世纪初期依据F.克莱因的思想开始发展起来的,研究的对象主要是曲线、曲面、共轭网等在射影变换群下的不变量、协变图形及其性质。G.达布的有名的曲面论这部著作中,蕴含了它的萌芽。到20世纪的40年代为止,概括起来,大致有三种讨论的方法,其内容也随着这些方法的建立而趋于完善。
第一种是以G.富比尼为首的意大利学派的方法。试以曲面论为例进行说明。 设(x)=(x1,x4,x3,x4)是三维射影空间p3的点的齐次坐标, x=x(u,υ)是一个曲面S的参数表示。用一种射影不变的方法确定x的比例因子,从而获得 G.富比尼的规范坐标。 其次,按照规范坐标的表示x(u,υ)还可构造二次和三次的基本形式:
式中φ和普通曲面论中的第二基本形式只相差一个因子,于是φ=0定义了曲面的两系主切(或渐近)曲线,ψ和φ满足配极关系,而且ψ=0定义了曲面的三系达布曲线。这二个基本形式的系数必须满足一系列的关系式,即所谓曲面的基本方程。同普通曲面论的场合一样,可导出射影曲面论的基本定理,给定了两个微分形式φ和ψ,并设它们的系数满足上述的基本方程,那么,除了射影变换外,可以惟一地决定一个曲面,使它的两个基本形式是φ和ψ。
第二种是É.嘉当继承达布后创新的活动标架法。他重新建立起射影曲面论,这比起第一种来,既简练,又富有广泛性。所论的问题都被归结为一个普法夫方程系统,它的可积分条件被写成嘉当结构方程,而且许多结果就从此自然地被推导出来。
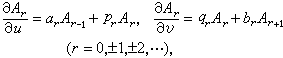
以n维射影空间pn(n≥3)的共轭网A0(u,υ)为例。设这网沿方向u的拉普拉斯变换是A-1,A-2,…,A-m,…,而且沿方向υ的是A1,A2,…,Am ,…,则有
式中假定αrbr≠0。如果用É.嘉当的外形式法来表达,上列方程组便可归结为普法夫方程组
式中
此时,É.嘉当结构方程除了从定义得到的
(D表示外微分)之外,可还有写成外积形式的方程:
近年来发展起来的高维射影空间共轭网理论,就是这样根据É.嘉当的外形式法建立的。
最后第三种是中国学者在20世纪30年代末期开创而发展起来的所谓结构式射影微分几何,主要是用几何作图法来建立射影协变的构图和不变量,例如,用平面曲线在其某种奇异点的不变量以表达其他几何不变量,就是一项具有代表性的显著的成果。
- 参考书目
- 苏步青著:《射影曲面概论》,上海科学技术出版社,上海,1964。
- 苏步青著:《射影共轭网概论》,上海科学技术出版社,上海,1978。