电磁势

浏览

描述电磁场的物理量,包括标势 和矢势A两部分。它在电磁理论中起着十分重要的作用。电磁势和电磁场(电场强度E磁感应强度B)之间关系为

引进电磁势后可以将电磁场所满足的麦克斯韦方程组,化为电磁势所满足的一组微分方程,未知量个数和方程个数都减少了,而且,电磁势与电荷密度 ρ及电流密度j的依赖关系比较简单直接,易于求解。

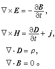
麦克斯韦方程组为

引入矢势A和标势后,方程组的第一式和最后一式自然满足。事实上, 正是由最后一式引出矢势A,然后再由第一式和矢势引出标势的。由电磁势和电磁场之间关系可以看出,在电磁势(A)作下列变换时

EB保持不变,式中ψ为任意的标量函数。所以,势(A)和势(A′,┡)描述同一电磁场, 上列变换称为规范变换。由于(A)的这种任意性,为了使基本方程和计算简化,在不同的问题中可以采用不同的辅助条件,即所谓规范条件来选定A 。应用最广的是库仑规范

墷·A=0

和洛伦兹规范

采用洛伦兹规范时,在真空情形下,可从麦克斯韦方程组得到下列达朗伯方程

可见在洛伦兹规范下,势的基本方程化为特别简单的对称形式,其物理意义也十分明显。上两式的解为推迟势

上两式说明,电荷和电流所产生的物理作用不能够立刻传至观察点,所推迟的时间代表电磁作用从电荷电流所在点x′传至观察点x所需的时间,ρj给定后就可算出推迟势,再由电磁势和电磁场的关系式就可求得空间任意点的电磁场。电磁场以有限速度传播这一点说明能量定域在电磁场中,并从而说明电磁场的物质性。

带电粒子在电磁场中受力的洛伦兹公式

也可以用电磁势来表示:在非相对论情形下,拉格朗日量为

而在相对论情形下

这时洛伦兹公式就是引用上列拉格朗日量的拉格朗日方程。由上式或前式可知正则动量P为机械动量 pqA的矢量和,即

PpqA

可以证明,从普通的势场V过渡到电磁场时,只需将哈密顿量中的机械动量p和势能V作如下代换即可

上述结果在量子理论中常会用到。

在量子力学中电磁势与带电粒子波函数的位相密切有关。带电粒子在没有电磁场的空间中运动时,也会受到电磁势的作用而改变相位,从而引起可观察的物理效应,即所谓阿哈罗诺夫-玻姆效应。

从现代规范场理论的角度看,电磁场是以U(1)群为规范群的规范场,而电磁势就是主纤维丛上的联络。

参考书目
  1. 曹昌祺著:《电动力学》,人民教育出版社,北京,1979。
  2. 郭硕鸿编:《电动力学》,人民教育出版社,北京,1979。