[拼音]:Haimuhuozi gongmingqi
[外文]:Helmholtz resonator
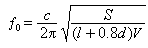
利用共振现象进行声学测量的装置。这种共鸣器是以德国科学家H.von亥姆霍兹的姓氏命名的,他首次利用这种共鸣器对声音作频率成分的分析。亥姆霍兹共鸣器的原始形状是一个有细颈或小开口的容器,当受声波的作用时,颈内的空气振动,而容器内的空气对之产生恢复力。在声波波长远大于共鸣器几何尺度的情形下,可以认为共鸣器内空气振动的动能集中于颈内空气的运动,势能仅与容器内空气的弹性形变有关。这样,这个共鸣器是由颈内空气有效质量和容器内空气弹性组成的一维振动系统,因而对作用声波有共振现象,共振频率是
。
式中f0是亥姆霍兹共鸣器的共振频率,с 是声速,S是颈或开口的截面积,d是颈或开口的直径,l是颈的长度,V是容器的容积。在强度为一定的声波作用下,在这共振频率时,颈内空气的振动速度最大。
亥姆霍兹共鸣器的用途很多,例如,在共鸣器的空腔内放些吸声材料或在颈口上蒙一层布,就可作成共振吸声结构,在共振频率附近有大的吸声量。实际上这种吸声结构是距硬墙有一定距离的穿孔板,板上的一个孔及其后的空间形成一个亥姆霍兹共鸣器。