[拼音]:haimian qiceng tuanliu shusong
[外文]:turbulent transfers in the layer over sea surface
大气物理属性在海面以上厚约数十米的大气层中因湍流而引起的铅直输送。它直接体现了海洋和大气之间的相互作用。湍流输送通过由小到大的海洋湍涡或大气湍涡的相互传递,分别影响到各自的大尺度现象。因而,海面气层的湍流输送是深入研究海洋和大气的关系的重要问题。
海面大气层的湍流输送主要有三方面:
(1)湍流的动量和动能的传输,例如风的湍流对海浪、海水表层湍流和海面漂流的动量和能量的传递;
(2)湍流的热量输送,例如海面的水以感热和潜热等方式向大气的能量输送;
(3)物质输送,例如海洋的水分、盐类和气体等向大气的湍流输送。湍流输送的结果,必然反映在海-气界面上下的海洋要素和气象要素之中,同时影响海洋和大气的物理现象。
海面大气层中,除了紧贴海面的区域以外,湍流得到充分的发展。海洋和大气间的各种物理量的交换是大气在铅直方向产生湍流扩散和混合的结果。在恒定和匀速的风所作用下,海面气层内的湍流动量、感热和水汽的铅直通量不随高度改变,因而在该层内不同高度处的铅直通量,可以代表贴近海面处的海-气交换量。
海面气层内的各种物理量的湍流铅直通量,是难以用常规的手段测量的。1936年,H.U.斯韦尔德鲁普首先对海面气层的某些属性的湍流铅直通量作了理论计算,但直到1954年,A.C.莫宁和A.M.奥布霍夫提出近地面大气层的相似理论以后,对海面气层的湍流铅直通量,才有了大量的研究。
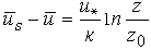
直接测定法湍流动量(τ)、感热(H)和水汽的铅直通量(E)可分别表示成
式中ρ是空气密度;cp是空气的定压比热容;u′、w′、θ′和q′分别是风速、铅直速度、位温和比湿相对于平均值的脉动值;横杠表示平均值;星号表示特征尺度。用精密仪器测量气层内各物理量在任一高度处的脉动值,再按以上各式分别算出τ 、H 和E。
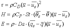
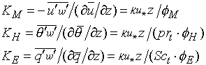
梯度观测法湍流交换系数包括湍流动量交换系数KM、感热交换系数KH和水汽交换系数KE。
式中 k是卡门数;Prt是湍流普朗特数;Sct是湍流斯密特数;φM、φH和φE分别是相应属性的稳定度函数。在中性层结稳定度时,φM=φH=φE=1,由上列三式的积分,可求得海面大气层中的风速、位温和比湿的廓线:
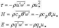
式中下标s表示海面的量;z0、zθ和zq是相应属性的参量(z0称为海面粗糙度参数),它们分别表示海面的摩擦、传导和扩散的影响,通常可取к=0.4, Prt/к=Sct/к=2.2。然后,根据风速、位温和比湿在不同高度上的梯度的观测值,分别拟合上列三式,从而可确定u*、θ*、q*、z0、zθ和zq,并且得到相应的铅直通量值。应该指出,在非中性稳定度的条件下,必须考虑浮力脉动的影响,这时稳定度函数不等于1。
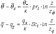
参数化确定法为了实际应用简便起见,各铅直通量可表示为:
式中CD、St和Dɑ分别是阻滞系数、斯坦顿数和道尔顿数。如果根据海面上 10米高度和海面处的观测值,同时取CD埄St埄Dɑ=1.5×10-3,即可算出上述湍流通量。
以上各通量的估算是在天气变化不显著而风速较低的情况下获得。如果处在风暴天气和高风速的条件下,则上述结果必须作适当的修正。 这是因为海-气界面在气流的激发下,产生风浪,从而使波峰倒塌并出现气泡。当气泡沉入水中时,其内腔空气与腔壁水间发生感热和水汽的交换。当气泡浮升至水面时即自行破裂,这时腔内空气进入大气。这样,就通过气泡内的空气,在海-气之间进行动量、感热和水汽的交换。另一方面,除了风切削波峰和波峰上的空气动力学吸引而在大气中产生水滴以外,海面气泡破碎时,产生的膜滴和喷滴溅入大气中。膜滴细小,是由突出水面的气泡膜分裂而成;喷滴较大,是由气泡底部凹面水向上喷射而成。这种喷滴在海面上形成了大量的浪沫,当其脱离海面,在飞行和重新落入海面的过程中,不断和周围的空气发生动量、感热和水汽的交换。沫滴的动量、感热和水汽等的铅直通量,主要取决于沫滴浓度、滴径分布、飞行轨迹,以及与周围环境的速度、温度和湿度等的差值大小。
- 参考书目
- 鸟羽良明:《海面境界过程》,《海洋物理》Ⅰ,東海大学出版会,東京,1970。