[拼音]:γ shexian jiliang he fanghu
[外文]:dose and protection of γ-ray
研究γ辐射场的剂量的计算和测量,γ辐射源活度的测量,减小或防止γ射线对人体损伤的措施和办法。
γ射线的剂量γ射线穿过空气媒质时,同空气的原子发生相互作用(见γ射线同物质的相互作用)释放出电子,这些电子会导致空气电离,从致电离本领的角度来描述γ射线在空气中辐射场性质的物理量称为照射量,用X表示。照射量的定义是光子在质量为Δm的空气中释放出来的全部电子(负电子和正电子)完全被空气阻止时,在空气中形成的同种符号的离子总电荷的绝对值除以 Δm而得的商。照射量的国际制(SI)单位是库仑/千克(C/kg),暂时允许同它并用的单位是伦琴( R),1R相当于2.58×10-4C/kg。单位时间内照射量的增量称为照射量率,用凧表示。
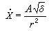
一个点状γ辐射源在空间一点处造成的照射量率 凧〔单位C/(kg·s)〕为
,
式中A是源的放射性活度(见放射性),单位Bq,r是该点到源的距离,单位m;
是γ放射性核素的照射量率常数,单位C·m2/kg。
γ射线在空气中某点的照射量率(单位R/s)为
,
式中E是γ射线的能量,单位MeV;═是γ射线在该点的注量率,单位m-2·s-1;(μen/ρ)a是γ射线在空气中的质量能量吸收系数,单位m2/kg。
在研究γ射线的剂量时,另一个很重要的物理量是吸收剂量(见辐射剂量),用Dm来表示。在带电粒子平衡条件下,吸收剂量D和照射量X之间存在如下关系
,
式中(μen/ρ)m是γ射线在物质中的质量能量吸收系数,f是由以R为单位的照射量换算为以戈瑞(Gy)为单位的吸收剂量的换算系数(Gy/R)。
γ射线剂量的测量用于测量γ射线剂量的仪器有电离室、正比计数器、闪烁计数器、化学剂量计、胶片剂量计、热释光剂量计及荧光玻璃剂量计等。用标准仪器或标准源对上述剂量计进行刻度以后,都可以测量照射量和吸收剂量。测量γ射线照射量的标准仪器是自由空气电离室(又称标准电离室)。对于能量较高的γ射线经常采用空腔电离室。
γ射线的防护γ射线有很强的贯穿本领,在操作γ放射性物质时,一般需要进行屏蔽,以减小对人身的损伤。常用的屏蔽材料有铁、铅、混凝土等重材料。γ射线穿过物质时近似地服从指数衰减规律。因而通过屏蔽层后的剂量可用下式表示
式中D是屏蔽层外的剂量,Do是无屏蔽层时同一点的剂量,B是γ射线在屏蔽层中的剂量积累因子,它是一个无量纲的量,表征γ射线在屏蔽层中因多次散射而造成的次级γ射线积累的结果,与屏蔽层的厚度ⅹ(单位cm)和材料有关。μ 是γ射线在屏蔽材料中的线衰减系数(单位cm-1)。
两种不同材料叠在一起的组合屏蔽层的积累因子可近似地按下列办法考虑。
(1)若组合的方式是轻材料(两种材料中较轻的一种)靠近放射源一侧,重材料靠近观测点一侧(简称前轻后重),组合屏蔽层的积累因子等于与之同等厚度(以平均自由程表示)的重材料的积累因子;
(2)若组合的方式是前重后轻,则组合屏蔽层的积累因子等于这两层的积累因子的乘积。
在实际工作中为了节省屏蔽材料,常采用阴影屏蔽(见图)。此种情况下除考虑透过屏蔽层的γ射线对观测点造成的剂量外,还必须考虑γ射线由天花板、侧墙壁等反射产生的散射γ射线对观测点造成的剂量。
γ射线在物质中的多次散射,使得它在屏蔽层中的衰减规律大大复杂化了。精确的屏蔽计算必须通过电子计算机来求解γ射线穿过媒质时的输运方程(计算方法有多项式方法,矩阵方法等),以及根据γ射线同物质发生相互作用的概率性质而发展的蒙特-卡罗法等。
- 参考书目
- 李士骏编著:《电离辐射剂量学》,原子能出版社,北京,1981。