[拼音]:dian'oujizi
[外文]:electric dipole
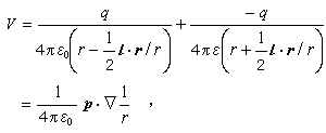
相距为l的一对等量异号点电荷+q和-q,并且它们到观察点P的距离r
l。通常的媒质分子在外电场的作用下可以形成这种电偶极子。电偶极子的特征用电偶极矩(或电矩)p=lq表示,l和p的方向规定由-q指向+q。电矩p 的国际制单位为C·m(库·米)。微观物理学中常用的单位为德拜(debye);1德拜=3.336×10-30C·m,它相当于典型分子内部核间距离的十分之一(约2×10-11m)同一个电子的电荷e=1.6×10-19C的乘积。
+q和-q分别在观察点P(r)产生的电位的代数和即电偶极子产生的电位
式中墷只对P点的坐标变量运算。在P点的电场强度为
。
若电偶极子+q和-q所在点的外电场的电位为V1和V2,则偶极子的位能W=qV1-qV2=q(l·墷)V=p·墷 V=-p·Eo,式中Eo为点偶极子所在的外电场强度。
偶极子在外电场中受到平移力
F=-墷W=墷(p·Eo)=(p·墷)Eo。
如果外电场均匀,Eo为常量,则F=0。
偶极子在外电场作用下受到的力矩 T=-дW/дθ=pEosinθ或T=p×Eo,它使电矩p同外电场强度Eo的夹角减小。如果p 同Eo平行,则力矩T=0。并可看到p的量值也就是电偶极子在单位外电场(Eo=1)下可能受到的最大力矩,故称电矩。
如果点偶极子 p1 处于另一偶极子 p2 产生的电场E2(r)中,则p1的位能即相互作用能为
。
电偶极子是电介质理论和原子物理学的重要模型,研究从稳恒到 X光频电磁场作用下电介质的色散和吸收,以及天线的辐射等现象,可以用振荡偶极子poe
来表示。
将偶极子概念加以推广,可有多极子,它是含有2n个大小相等的点电荷,其中正负各半数,排列成有规律的点阵。在多极子系列中,n=0时,就是点电荷;n=1,就是电偶极子;n=2,称为四极子;n≥2,统称为高阶多极子。
高阶多级子模型应用于核物理,其中最重要的是四极子。任意点电荷集合或任意分布电荷,如果能够用一个球面包围,则球外的电位V可用集中在球心的点多极子系列的合成电位表示,称为电场的多极子展开。