极值

浏览

一个函数的极大值或极小值。如果一个函数在一点的一个邻域内处处都有确定的值,而以该点处的值为最大(小),这函数在该点处的值就是一个极大(小)值。如果它比邻域内其他各点处的函数值都大(小),它就是一个严格极大(小)。该点就相应地称为一个极值点或严格极值点。

极值的概念来自数学应用中的最大最小值问题。定义在一个有界闭区域上的每一个连续函数都必定达到它的最大值和最小值,问题在于要确定它在哪些点处达到最大值或最小值。如果不是边界点就一定是内点,因而是极值点。这里的首要任务是求得一个内点成为一个极值点的必要条件。

对于可微函数ƒ(x),其导函数ƒ′(x)的正负号标志着函数值的升降,因此极值点必须是导函数ƒ′(x)的零点:

ƒ′(x)=0。   (1)

比较这些零点和边界点处的函数值,最大(小)的就是函数的最大(小)值。

多元函数 ƒ(x1x2,…,xn)的极值点也是每一变元xi(其余变元作为参变量时)的极值点,因而必须满足相当于方程(1)的联立方程组

   (2)

如果多元函数ƒ(x1x2,…,xn)的最大值或最小值发生在边界上,而后者由方程组

   (3)

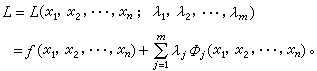
确定,这时最大、最小值便成为在附加条件(3)之下的条件极值。这时极值点的求法,在函数ƒ和φj都连续可微的前提下,常用的是

拉格朗日乘子法:考虑函数

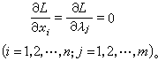
则函数 ƒ(x1x2,…,xn)在条件(3)之下的极值点必须满足同(2)一样的联立方程组

   (4)