[拼音]:lagelangri chazhi duoxiangshi bijin
[外文]:approximation by Lagrange interpolation polynomials
拉格朗日插值多项式是一种最常见的多项式插值法,也是一种最常用的逼近工具。设ƒ(x)是定义在区间[α,b]上的函数,又设x1,x2,…,xn是[α,b]上的n个互不相同的点。早在1795年J.-L.拉格朗日就证明:如果在点xK处的函数值yK=ƒ(xK)(k=1,2,…,n)是已知的,则存在惟一的次数不高于n-1的代数多项式ln(ƒ,x)使得
。
倘若记
,
则ln(ƒ,x)有表达式
常称ln(ƒ,x)为ƒ(x)的拉格朗日插值多项式,
为其结点组。若ƒ(x)是个次数不高于n-1的代数多项式,则ln(ƒ,x)=ƒ(x)。ln(ƒ,x)的几何意义是有且仅有一条n-1次代数曲线通过平面上预先给定的 n个横坐标互不相同的点。又称
为拉格朗日插值的基本多项式。不论在理论上还是在实用上,拉格朗日插值多项式都是一种重要的逼近工具。假设ƒ(x)在 [α,b]上存在n阶导数,则ln(ƒ,x)逼近ƒ(x)的偏差有这样的表达式
式中ξ是[α,b]中某一与x有关的点。当然,这里对被逼近函数的要求太高,研究低度光滑函数的插值逼近是很重要的。
对于给定的结点组
记

常称λn(x)为此结点组的勒贝格函数,λn为其勒贝格常数。如果记En-1(ƒ)为次数不高于n-1的代数多项式对连续函数ƒ(x)的最佳逼近值,则
而且有
因此,应该选取使λn尽可能小的结点组,或说让诸结点
在[α,b]上均匀分布是合理的。但事实并非这样,即使对于函数ƒ(x)=|2x-α-b|,此时相应的ln(ƒ,x)也不能实现对ƒ(x)的逼近。至于选择其他结点组,仅要求函数连续也未必可行。因为G.费伯曾经证明,对于[α,b]上的任意一列结点组
,n =1,2,…,都有[α,b]上的连续函数ƒ(x),使得相应的拉格朗日插值多项式序列
在[α,b]上不一致收敛于ƒ(x)。此外,还有
因此,选择使勒贝格函数λn(x)关于 n的增长速度接近于ln n的结点组序列是人们所期望的。最常用的是在[-1,1]上取切比雪夫多项式Tn(x)=cos(n arccosx)的零点全体
作为结点组。
其相应的勒贝格常数不超过
于是只要函数ƒ(x)合乎迪尼-李普希茨条件
则它的拉格朗日插值多项式ln(ƒ,x)在n →∞时,在[-1,1]上就一致收敛于ƒ(x)。这里 ω(ƒ,δ)是ƒ(x)的连续性模。用这种结点组的拉格朗日插值多项式逼近连续函数,其逼近度与最佳逼近值相比较,还有一个对数因子。如何修改插值多项式的构造以改善它的逼近性能,是人们所重视的问题。修改的办法很多,常用的是由С.Η.伯恩斯坦所提出的线性求和法。例如,令
x=cosθ (0≤θ≤π),
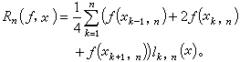
定义
或令
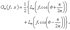
,定义
如仍取Tn(x)的零点全体作为结点组,则存在绝对常数с,使得在[-1,1]上都有
这说明,上述两种多项式对于低度光滑函数都有良好的逼近性能。
代替有限区间上的一致逼近,也可以考虑积分平均逼近,以及无限区间上的逼近。代替切比雪夫多项式的零点,可以考虑用雅可比多项式的零点作结点。而在周期的情况下,代替代数多项式的插值逼近自然以三角多项式的插值逼近为宜。此时,用周期区间的均匀分布的结点组是较合适的,可以建立类似于傅里叶级数部分和逼近函数的结果。