螺旋

在圆柱体的侧表面上刻出螺旋形沟槽的机械。也可把螺旋看成是斜面绕在圆柱体上而构成,因此,螺旋应用了斜面原理。螺旋的特点是能把转动变成平动或者相反。在古代,人们就应用螺旋。阿基米德就发明了用螺旋从尼罗河中向上提水,就是用了著名的阿基米德螺旋(图1)。

图1 图2 图3

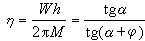
螺旋可用于传动和锁紧。实际使用的螺旋有方形、三角形、梯形、锯齿形等各种不同形状的螺纹(图2),各有不同用途,作为传动用的螺旋多为方形螺纹。从图3的螺旋和螺母中可以得出螺旋的机械效率

式中W 为螺母所受的轴向力的值;h为螺旋的导程;M为螺母所受的力矩值;α为螺旋的导角;嗘为螺纹和螺母间的摩擦角。

如利用螺旋来锁紧物体则要求α≤0, 这称为螺旋自锁条件。常用螺旋千斤顶(图4)来推举重物,这就要求螺旋满足自锁条件。

图4

螺旋在机器和结构中得到广泛的应用,机床的丝杠用螺旋来传动,机器和结构上的各种螺钉和螺栓则用螺旋来锁紧。此外,螺旋送料机、螺旋推进器等也是螺旋在其他方面的应用。

参考文章