[拼音]:Ai’ermite chazhi duoxiangshi bijin
[外文]:approximation by Hermite interpolation polynomials
埃尔米特插值是一种常见的插值方法。假设在区间[α,b]上给定了n个互不相同的点x1,x2,…,xn以及一张数表
(*)
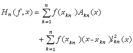
记m=α1+α2+…+αn。早在 1878年C.埃尔米特就证明:存在惟一的次数不高于m-1的代数多项式Hn(x),使得
,
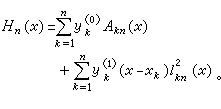
Hn(x)为表(*)的以
为结点组的埃尔米特插值多项式。如果定义在[α,b]上的函数 ƒ(x)在xk(k=1,2,…,n)处有αk-1阶导数,并取
,则称相应的Hn(x)为ƒ(x)的以
为结点组的(α1,α2,…,αn)阶埃尔米特插值多项式。作为特殊情况,若诸αk都为1,则Hn(x)就是ƒ(x)的拉格朗日插值多项式;若n=1,则Hn(x)为ƒ(x)的α1-1阶泰勒多项式。最使人们注意的是诸αk都为2的情况,这时Hn(x)为次数不高于2n-1的代数多项式。如果写
Hn(x)可表示为
在这种情况下,常取
,而给
以适当的限制。这个想法大致起源于拉格朗日插值多项式的研究。为了改善插值多项式的逼近度,需对其导数作一定的要求。
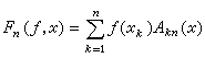
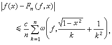
为了简单,考虑定义区间为[-1,1]的情况。L.费耶尔首先让
,称
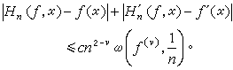
为函数ƒ(x)的埃尔米特-费耶尔插值多项式。如果取切比雪夫多项式Tn(x)=cos(n arc cos x) 的零点全体为结点组, 则有绝对常数с,使得对于[-1,1] 上的任一连续函数ƒ(x)都有
式中-1≤x ≤1,ω(ƒ,δ)为ƒ(x)的连续性模。然而,用ƒn(ƒ,x)逼近ƒ(x)有其饱和性,逼近阶最多为1/n。若
关于[-1,1]上的x均匀成立,则ƒ(x)是个常数。但是对于其他结点组,会有较大的差异。例如,取勒让德多项式
的零点全体为结点组时,对于[-1,1]上的连续函数ƒ(x),相应的ƒn(ƒ,x)仅可能在(-1,1)中内闭一致收敛于ƒ(x),为了使n→∞时,Fn(ƒ,x)在[-1,1]上一致收敛于ƒ(x),充分必要条件是
。
这种在区间端点发生奇异的情况并不很稀有,它促使人们去改变端点的插值情况。P.图兰首先提出在区间端点xon=1,xn+1n=-1处取值与函数取值相同的要求。从而构造了拟埃尔米特-费耶尔插值多项式Q2n+1(ƒ,x),即假定结点组
是取在开区间(-1,1)中的,而2n+1次代数多项式Q2n+1(ƒ,x)满足条件
,
。
这时,如取
为Xn(x)的零点全体,则
。
当然也可以考虑仅在一端插值的情况。然而,倘若将端点作为结点,又会发生剧烈的变化。例如,取
,
,
则以
为结点组的埃尔米特-费耶尔插值多项式序列Fn+2(ƒ,x),对于 ƒ(x)=x2这样好的函数,也会在(-1,1)中处处发散。而取
为结点组时,相应的Fn+2(ƒ,x)对于连续函数ƒ(x)却有逼近阶
。
埃尔米特插值多项式可以从各方面扩充。例如,可以在某些结点处放弃对某些阶导数的要求,这就是所谓伯克霍夫插值。其中常见的是(0,2)插值,也即对于给定的结点组
以及数组
,
,要确定一个次数不高于2n-1的代数多项式
使得
,
,(k=1,2,…,n)。当取αkn=ƒ(γkn)时,考虑S2n-1(ƒ,x)对ƒ(x)的逼近,也可以考虑埃尔米特插值多项式对函数及其导数的同时逼近。例如,取
为结点,对于[-1,1]上的可微函数,考虑
对ƒ(x)及ƒ'(x)的同时逼近。此时有
至于对于无限区间或周期函数的情形,自然也可作类似的讨论,只是在周期的情形,有时插值三角多项式却未必存在。
至于ƒ(x)的(α1,α2,…,αn)阶埃尔米特插值多项式Hn(x)对ƒ(x)的逼近,如果ƒ(x)在[α,b]上有m阶导数,则在[α,b]中有与x有关的点ξ使得
,
式中
。