漂移

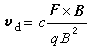
等离子体中当均匀恒定的磁场上叠加一个其他力场时,带电粒子除了绕回旋中心作回旋运动外,由于附加力场的存在,回旋中心本身还沿磁场的垂直方向漂移。回旋中心又称导向中心,它的漂移速度为

, (1)

式中 с是光速,q是粒子的电荷,B磁感应强度F是附加的力场,公式采用高斯单位制。

如果磁场是不均匀的,只要它的不均匀性微小,即在回旋半径rL的尺度上,磁场的变化满足缓变条件:

(2)

粒子的运动仍可近似地看作是在均匀磁场中的回旋和不均匀性所引起的漂移的叠加。

电漂移

F力来自电场E时,F=qE。由公式(1)即得电漂移速度:

(3)

由此式可见,粒子的电漂移垂直于磁场和电场,而与粒子的质量、速度、电荷无关。正负的带电粒子总是一起漂移,不会导致电荷分离和电流。

极化漂移

如果附加的电场随时间缓慢变化,则在粒子的回旋运动上,除了叠加电漂移外,还叠加极化漂移,它的速度是

, (4)

式中"⊥"表示垂直磁场方向分量。对于异号的电荷,vp的方向相反。这样,等离子体中形成比例于的电流)称为极化电流。

磁梯度漂移

当磁感应强度B方向不变,但在其垂直方向有缓慢变化的强度梯度墷B时,带电粒子除了作回旋运动外,还受到磁场梯度的作用力F=-μB的作用,这里μ 是粒子的轨道磁矩。这样,粒子的回旋运动上叠加磁梯度漂移,它的速度是

。 (5)

由公式可见,vG取决于粒子的性质,带有异号电荷的粒子沿相反方向漂移。

磁曲率漂移

当带电粒子在弯曲磁场中绕磁力线旋转,回旋中心以速度υ〃沿曲线运动时,它受到一个离心力的作用,R是曲率半径。这个力导致回旋中心的磁曲率漂移,它的速度是

。 (6)

引力漂移

当质量为 m的带电粒子在磁场中运动时,若同时受到其他物体的引力作用,则公式(1)的F可代以mF,即得引力漂移速度

, (7)

式中F是引力所引起的粒子加速度。由公式可见,漂移的方向也取决于粒子电荷符号。

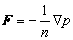
抗磁漂移

设被约束于磁场中的等离子体具有压强梯度墷p,则粒子除了受到磁力的作用外,还受到压强梯度的作用,式中n是粒子数密度。这个力所导致的漂移,称为抗磁漂移,它的速度是

(8)

(9)

式中k玻耳兹曼常数,T是等离子体温度。抗磁漂移的方向取决于粒子电荷的符号。

参考文章