[Æ´Òô]£ºhushui guangxue xianxiang
[ÍâÎÄ]£ºoptical phenomena in lakes
ºþË®ÖйâµÄ´«²¥¡¢¹âѧЧӦºÍ¹âÓëºþÖÐÎïÖÊÏ໥×÷ÓõÄÏÖÏó¡£¹âÔÚºþË®Öд«²¥¼°Æä¹âѧЧӦ£¬¸Ä±äºþˮζȽṹ£¬Ó°ÏìºþÖÐË®ÉúÉúÎïµÄÉúÀíÌØÕ÷ºÍ·Ö²¼£¬Òò¶øÓ°Ïìºþˮѻ·¼°Ë®ÖÐÓªÑøÎïµÄÑ»·¡£
¹âÔÚºþË®ÖеÄÎüÊÕºÍÉ¢ÉäÕÕÉäÔÚºþÃæÉϵÄÑô¹â£¬²¿·Ö±»ºþË®·´ÉäºÍÉ¢Éäµ½¿ÕÖУ¬²¿·ÖÄÜ͸ÈëË®ÖС£ËæË®ÉîÔö¼Ó£¬¹â͸ÈëÇ¿¶È¼õÈõ¡£ºþË®¾ßÓÐÑ¡ÔñÎüÊÕºÍÉ¢É䲻ͬ²¨³¤¹âÄܵÄÐÔÖÊ£¬Ôڿɼû¹âÆ×ÖУ¬¶Ôºì¹âºÍ³È¹â(²¨³¤0.59¡«0.76¦Ìm)ÎüÊÕ×îÇ¿£¬¶ø¶Ô×ϹâºÍÀ¶¹â(²¨³¤0.40¡«0.49¦Ìm)É¢Éä×îÇ¿¡£´ó²¿·Ö³¤²¨ºìÉ«¹â±»ºþË®±í²ãÎüÊÕ£¬×ª±äΪÈÈÄÜ£¬Ê¹Ë®ÎÂÉý¸ß¡£Ë®ÖÐÐü¸¡¿ÅÁ£ºÍ¿ÉÈÜÐÔÎïÖÊ£¬Ê¹ºþË®¶Ô¹âµÄÑ¡ÔñÐÔ¼õÈõ¡£
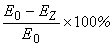
ºþË®ÕÕ¶ÈÕÕ¶ÈÖ¸µ¥Î»Ê±¼äÉäÈëµ¥Î»Ãæ»ýÉϵĹâÄÜÁ¿¡£ºþÃæÉϵÄÕÕ¶ÈÈ¡¾öÓÚÌ«Ñô¸ß¶ÈºÍ´óÆøÍ¸Ã÷¶È£¬Ì«Ñô¸ß¶ÈÔ½´ó£¬´óÆøÔ½ÇåÎú£¬ºþÃæÕÕ¶ÈÒ²Ô½´ó¡£ºþÃæÕÕ¶È¿ÉÒÔÓÃÕնȼƲⶨ¡£Ë®ÏÂÕÕ¶ÈÊ×ÏȾö¶¨ÓÚºþÃæµÄÕÕ¶È£¬Ò²Í¬Í¸ÈëË®ÖеĹâÒòºþË®µÄÑ¡ÔñÎüÊÕºÍÉ¢Éä¶øË¥¼õµÄ³Ì¶ÈÓйء£ÉîZ´¦ÕÕ¶ÈEZÓëË®ÃæÕÕ¶ÈE0³ÊEZ=E0e-uz¹ØÏµ¡£Ê½ÖЦÌΪ˥¼õϵÊý£¬¾ö¶¨ÓÚºþË®ÖÐÐü¸¡ÎïÖʺͿÉÈÜÐÔÎïÖʵÄÊýÁ¿ºÍÐÔÖÊ¡£Ë®ÖÐÕÕ¶ÈÒ²¿ÉÓÃÕնȼƲⶨ£¬
³ÆÎªË®ÉîZ´¦µÄÏà¶ÔÕÕ¶È¡£
»ë×Ç¶È 1¶ÈÏ൱ÓÚÿÉýË®º¬¶þÑõ»¯¹è1ºÁ¿Ë¡£ºþË®»ë×ǶÈÖ÷Ҫȡ¾öÓÚË®ÖÐÐü¸¡ÖÊ¿ÅÁ£´óС¼°ÆäÕÛÉäÌØÐÔ¡£Í¨³£½«ºþˮˮÑùͬ¸÷ÖÖ²»Í¬»ë×Ƕȵıê×¼»ëË®½øÐÐÖ±½Ó»ò¼ä½Ó¶Ô±È¶ø²â¶¨¡£ÓÃ×ǶȼƿÉÔÚÏÖ³¡Ö±½Ó²â¶¨»ë×Ƕȡ£
ºþˮ͸Ã÷¶Èºþˮ͸¹ý¹âÏßµÄÄÜÁ¦¡£Í¨³£ÓÃ͸Ã÷¶ÈÅ̲ⶨ͸Ã÷¶È£¬Í¸Ã÷¶ÈÅÌÊÇÒ»¸ö°×ɫԲÅÌ£¬Ö±¾¶30ÀåÃ×£¬Óбê×¼ÖØÁ¿¡£°ÑÔ²ÅÌÐìÐì³ÁÈëË®ÖУ¬Ô²ÅÌ´ÓÊÓÒ°ÀïÏûʧʱµÄºþË®Éî¶È³ÆÍ¸Ã÷¶È£¬ÒÔÃ׼ơ£ºþˮ͸Ã÷¶ÈÈ¡¾öÓÚºþË®»¯Ñ§ÐÔÖʺͻë×Ƕȣ¬Ë®ÖпÉÈÜÐÔϸ¿ÅÁ£Ô½¶à¡¢ÓлúÖʵÄŨ¶ÈÔ½´ó£¬¹âµÄË¥¼õԽǿÁÒ£¬Í¸Ã÷¶È¾ÍԽС¡£Ê®·Ö»ë×ǵĺþˮ͸Ã÷¶È²»µ½ 0.1Ã×£¬¶øÊ®·ÖÇ峺µÄºþË®£¬Í¸Ã÷¶È¿É´ï40Ã×£¬Ò»°ãºþË®µÄ͸Ã÷¶ÈÔÚ0.2¡«10Ã×Ö®¼ä¡£Í¸Ã÷¶ÈËæË®Öи¡ÓÎÉúÎïºÍÓлúÖʺ¬Á¿µÄʱ¼ä±ä»¯¶ø³ÊÏÖÃ÷ÏÔµÄÄê¼ÊºÍÄêÄڱ仯¡£
ºþ²´Ë®É«Í¸ÈëË®ÖеĹ⣬ÊÜË®ÖÐÐü¸¡ÖʺÍË®·Ö×ÓµÄÑ¡ÔñÎüÊÕºÍÉ¢É䣬ʹˮ³ÊÏÖ²»Í¬ÑÕÉ«¡£×ϹâºÍÀ¶¹â²¨³¤¶Ì£¬Í¸ÈëÇ峺µÄºþË®ºó±»Ë®·Ö×ÓÉ¢ÉäºÍ·´Éäµ½´óÆøÖгÊÀ¶É«¡£»ë×ǺþË®Òòº¬´óÁ¿Î¢Á£ºÍ¿ÉÈÜÐÔÎïÖÊ£¬²»µ«É¢ÉäÀ¶¹â£¬¶øÇÒÇ¿ÁÒÉ¢ÉäÂÌÉ«¹âÉõÖÁºìÉ«¹â£¬³ÊÂÌÉ«¡¢»ÆÉ«»òºÖÉ«¡£ºþË®ÖеÄÐü¸¡Öʺ͸¡ÓÎÉúÎï×ÔÉíµÄÑÕɫҲ¹¹³ÉÁËˮɫµÄÒ»²¿·Ö¡£ÔÚºþË®¹âÑ§ÌØÐÔÊÔÑéÖУ¬Ë®É«³£ÓÃÀ´·´Ó³ºþË®¶Ô¹âµÄÑ¡ÔñÉ¢ÉäÌØÐÔ¡£ºþˮˮɫ¿ÉÓÃ͸Ã÷¶ÈÅÌÔÚ1Ã×Éî´¦³ÊÏÖµÄÑÕÉ«Óë±ÈÉ«¼Æ¶Ô±È¶øÈ·¶¨¡£±ÈÉ«¼ÆµÄÑÕÉ«±ê¶ÈΪ1ºÅ£¨À¶É«£©µ½21ºÅ£¨×ØÉ«£©¡£Ò»°ãºþ²´Ë®É«Ô¼ÔÚ8ºÅµ½15ºÅÖ®¼ä¡£