地下水数学模拟

地下水现象和过程概化,用数学模型表达,求解所建立的模型以解决实际的水文地质问题的方法。地下水数学模拟一般分 3步进行。首先是建立模型。把实际的水文地质问题简化,建立概念性模型,用一组数学表达式表达,得到所描述问题的数学模型。第二步是识别模型。模型建立以后,这一模型是否符合实际还是未知的,需要根据已有的实际资料进行校正,即把用模型计算的结果和实测资料进行对比,以修正模型并确定模型中有关的参数。最后是求解模型,得到所需的解答。

地下水数学模型的分类

根据模型中变量的性质,把地下水数学模型分为确定性模型和随机模型两类。模型的变量之间能用确定性的函数关系描述的数学模型称确定性模型,如描述地下水的水头变化或地下水中溶质运移和热量传输的数学模型。它们是以一个偏微分方程和一组初始条件和边界条件构成的。把地下水现象当作随机事件进行描述的数学模型称随机模型。模型中有一个或若干个变量为随机变量,这种模型只能给出各变量之间非确定的、但有一定联系的相互关系。如回归分析模型、时间序列模型等。随机模型的建立只有当积累了长时间的观测数据以后才有可能。

根据解决的问题,可把地下水数学模型分为模拟模型和优化模型两类。模拟模型只描述地下水现象的物理过程,通常用于预报。如地下水的水头模型、水质模型和水温模型等,常用来预测地下水的水头分布、溶质传移和热量传输。优化模型除了考虑物理过程以外,还要考虑社会的、经济的、法律的各种非物理因素,寻求最佳方案,为决策提供依据。如地下水管理模型。

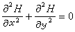
(1)水头模型 在均质、各向同性的承压含水层中,地下水的二维稳定流动模型如下:

偏微分方程

公式 符号

边界条件

公式 符号 公式 符号

式中H为地下水水头;H1 为第一类边界 Γ1上的已知水头;q为第二类边界Γ2上的已知的单位宽度流量;H为导水系数;nΓ2的外法线方向。

在非均质、各向同性的承压含水层中,地下水二维非稳定流动模型如下:

偏微分方程

公式 符号

初始条件

H(x,у,0)=H0(x,у)

边界条件

公式 符号 公式 符号

式中 S为贮水系数;t为时间;H0(x,у)为初始时刻的水头分布。

(2)水温模型 在无界的承压含水层中,以定流量Q向单井中注入冷水时,含水层中水温分布的数学模型如下:

偏微分方程

公式 符号

初始条件

公式 符号

边界条件

公式 符号 公式 符号

式中公式 符号Q为注水量;T*为水温;T奵为原来水温;T奻为注入水的水温;r为至抽水井中心的距离;δ为含水层的厚度;δi为不透水圈闭层的厚度;k为含水层的导热率;k'为不透水圈闭层的导热率;δo为不透水圈闭层传热带的厚度;Ca为含水层的比热;Cg为地下水的比热;ρa为含水层的密度;ρw为水的密度。

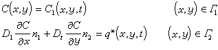
(3)水质模型 地下水中的溶质一方面被水流挟带随水流动,称为对流;另一方面在浓度差和微观水流速度差的作用下,分布的范围越来越大,称为水动力弥散。当x轴方向和地下水流方向一致时,表示地下水中溶质运移的二维对流-弥散模型如下:

偏微分方程

公式 符号

初始条件

C(x,у,0)=C0(x,у)

边界条件

公式 符号

式中C为溶质的浓度;uX为地下水的实际平均流速,沿x轴方向;D1为纵向弥散系数;Dt为横向弥散系数;C0(x,у)为初始的溶质浓度分布C1为第一类边界Γ1上的浓度;(n1,n2)为第二类边界Γ2的外法线方向的方向余弦;q*(x,у,t)为通过单位长度边界上的溶质通量。

(4)管理模型 寻求在一定的允许降深、水量分配、环境保护和其他的约束条件下,使待开发地下水的成本最低或效益最高的方案,为决策提供依据。管理模型通常由一个目标函数和一组约束条件组成。一般为目标函数:

Z=c1x1+c2x2+…+…cnxn

取极大值(或极小值)。式中 xi(i=1,2,...,n)为决策变量,常为各水源的地下水开采量;c为价值系数,即单位体积水所产生的经济效益(或开采单位体积水的成本)。并且满足m个约束条件

公式 符号

式中aij(i=1,2,...,m,j=1,2,...,n)为影响系数;bi为约束系数。

地下水数学模型的求解

求解数学模型的主要方法如下:

(1)解析解法。求出满足所给定的初始条件和边界条件的偏微分方程的精确解。利用这个解可以求得任意时间和任意地点的水头(或溶质浓度、或温度)。但通常只有当含水层形状规则(如无限含水层或有直线边界的含水层),水文地质条件简单时才有可能求得解析解。当条件复杂时常采用数值解。

(2)数值解法。把计算区域和计算的时间离散化,求出区域内若干个点在某些时刻的水头(或溶质浓度、或温度)的近似解。常用的数值方法有:有限差分法,用差分方程近似代替微分方程求得近似解;有限单元法,把区域剖分为若干个单元,最常用的是三角形单元,对单元上的函数进行插值,一般用线性插值,求出各节点(即各个单元的公共顶点)上的水头(或溶质浓度、或温度)值;边界单元法,只需将区域边界剖分为单元,求出各节点的函数和函数的一阶导数值,进而计算区域内部的水头(或溶质浓度,或温度)。数值解法需要利用电子计算机进行计算,用来求解复杂的、解析解难以解决的问题。

(3)运筹学方法。管理模型要用运筹学的方法求解。主要用线性规划、动态规划整数规划非线性规划等方法。而以线性规划最为常用,有时还需要将线性规划和数值解法耦合求解。

参考书目
  1. 朱学愚、钱孝星、刘新仁著:《地下水资源评价》,南京大学出版社,南京,1987。
  2. 薛禹群、朱学愚著:《地下水动力学》,地质出版社,北京,1979。
  3. J.Bear,Hydraulics of Groundwater,McGraw-Hill,New York,1979.