[拼音]:bandaoti de yazu xiaoying
[外文]:piezoresistance effect of semiconductors
指应力作用下半导体电阻率的变化。在一些半导体中有相当大的压阻效应,这与半导体的电子能带结构有关。
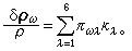
压阻效应是各向异性的,要用压阻张量π(四阶张量)来描述,它与电阻率变量张量δ ρ(二价张量)和应力张量k(二阶张量)有如下关系:
π:k。由于对称二阶张量只有六个独立分量, 故亦可表达成
这样,压阻张量可用6×6个的分量来表达。根据晶体对称性,像锗、硅及绝大多数其他立方晶系的半导体,压阻张量只有三个不等于零的分量,即π11、π12和π44。
测量压阻效应,通常有两类简单加应力的方法:
(1)流体静压强效应。这时不改变晶体对称性,并可加很大的压强。锗、硅的电阻率都随压强增大而变大。
(2)切应力效应。利用单轴拉伸或压缩,这时会改变晶体对称性。压阻系数Δ ρ/ ρk,与外力方向、电流方向及晶体结构有关。对锗、硅,压阻系数如下表所示:
20世纪50年代起,压阻效应测量曾作为研究半导体能带结构和电子散射过程的一种实验手段,对阐明锗、硅等主要半导体的能带结构起过作用。锗和硅的导带底位置不同,故其压阻张量的分量大小情况也不同。N型锗的π44比π11、π12大得多,而N型硅的π11却比π12、π44大。这表明锗导带底在<111>方向上,硅导带底在<100>方向上。对于P型半导体,也有过一些工作。利用压阻测量和别的实验(例如回旋共振等),取得一系列结果,对锗、硅等的能带结构的认识具体化了。
现在,半导体的压阻效应已经应用到工程技术中,采用集成电路工艺制造的硅压阻元件(或称压敏元件),可把力信号转化为电信号,其体积小、精度高、反应快、便于传输。