黎曼ζ函数

复变函数,其中s=σ+it是复数,σ>1。实变数情形的黎曼ζ 函数,L.欧拉早就讨论过。利用算术基本定理可以证明:当σ>1时有恒等式

,    (*)

式中表对所有的素数求积。这一著名恒等式是L.欧拉提出的。复变数s的函数ζ(s)是(G.F.)B.黎曼于 1859年发表的“论不大于一个给定值的素数个数”著名论文中第一次提出的, 他严格证明了:

(1)ζ(s)可解析开拓到全平面,且满足函数方程

(2)除了s=1是一个残数为1的一次极点外, ζ(s)在整个平面上是正则的;

(3)当σ>1时, ζ(s)没有零点;

(4)当σ<0时,s=-2,-4,…,-2n,…是它的一级零点,这些零点称为ζ(s)的“无聊零点”。除此之外, ζ(s)没有零点。

(5)当0≤σ<1 时, ζ(σ)≠0;

(6)ζ(s)可能有的其他零点一定是都位于带形区域0≤σ≤1中的复零点,它们称为“非无聊零点”。此外,他还给出了一些深刻的结果,而为后来的其他人所证明,例如, ⑦在带形区域0≤σ≤1中ζ(s)有无穷多个复零点,于1893年为 J.(-S.)阿达马所证明。

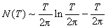
(8)设T>0,以N(T)表ζ(s)在矩形0≤σ≤1,0<t<T中的零点个数,则有,于1905年为H.von曼格尔德特所证明。

(9)建立了ζ(s)的非无聊零点与π(x)(不超过x的素数个数)之间的一个关系式,于1894年为曼格尔德特所证明。这一关系式揭示了素数定理与ζ(s)的非无聊零点的分布有密切关系,指明了研究素数定理的方向。

黎曼还在他的这篇著名论文中提出了一个影响深远的猜测:ζ(s)的所有非无聊零点都位于直线Res=1/2上,即所谓黎曼假设, 简记作 RH。 1974年N. 莱温松证明了ζ(s)至少有多于1/3的零点位于直线Res=1/2上。 1982年R.P.布伦特等四人证明了ζ(s)在矩形0≤σ≤1, 0≤t≤81702130.19中的零点,全部位于直线Res=1/2上, 共有200000001个零点,都是一级零点。但是黎曼这个假设还没有被证明或被否定。从黎曼假设可推出一系列重要的数论和函数论方面的结果,虽然都是些假设性的(其中有的在后来被证明),但是这些结果指出了研究ζ(s)零点的重要意义和方向。1896年阿达马和C.dela瓦莱·普桑各自独立证明了ζ(s)在直线σ=1上没有零点,并推出了素数定理。 瓦莱-普桑又于1900年证明了存在一个正常数A1, 使得ζ(s)在区域中没有零点,并得到了有误差项的素数定理。И.M.维诺格拉多夫于1958年证明了存在一个正常数A2,使得对任意的 ε>0,ζ(s)在区域中没有零点,其中A2和ε有关, 并改进了有误差项的素数定理。素数定理的进展是严格按照黎曼所提出的思想、方法和结果而取得的。关于ζ(s)还有下面重要结果。1918年G.H.哈代和J.E.李特尔伍德证明了

1926年A.E.英厄姆证明了

他于1940年又证明了当1/2≤σ<1时,

式中T≥2,1/2≤α<1, N(αT)表ζ(s)在矩形 ασ<1,│t│≤T中的零点个数(见素数分布)。此结果已被不断改进。通常把这类结果称为零点密度定理。

黎曼首先提出用复变函数论特别是ζ(s)研究数论的新思想和新方法,开创了解析数论的新时期,并对单复变函数论的发展有深刻的影响。

参考书目
  1. H. M. Edwards,RieMann's Zeta Function,Academic Press, New York, 1974.
  2. 华罗庚著:《指数和的估计及其在数论中的应用》,科学出版社,北京,1963。
  3. E.C.Titchmarsh,The Theory of the ReiMann ZetaFunction,Clarendon, Oxford, 1951.
  4. A.lvi婞,The RieMann Zeta-Function,John Wiley & Sons, New York, 1985.