[拼音]:erciyu
[外文]:quadratic field
有理数域Q的二次扩域。每个二次域都可表示成
其中d 不等于1是无平方因子的有理整数,按照d>0和d<0,分别称K为实二次域和虚二次域。
二次域是除了有理数域之外最简单的一类代数数域。它有如下较简单的数学结构和特性:
(1)K的(代数)整数环为OK=Z[ω],即K中每个(代数)整数均可写成α+bω,其中α、b∈Z,而
(当d呏2,3(mod4)时),
(当d呏1(mod4)时)。由此可知,K的判别式分别为d(K)=4d和d(K)=d。
(2)每个有理素数p在二次域K 中的分解规律为:对于p≥3时,若p|d(K),则p是 OK中一个素理想的平方(即p在K中分歧);若p
d(K),当
,则p为OK中两个不同素理想的乘积(即p在K中分裂);当
-1,则p在OK中仍生成素理想(即p在K中惯性)。对于素数p=2,若 2|d(K),则 2在K中分歧;若2
d(K),则必然d呏1(mod4)。当d呏1(mod8)时,2在K中分裂;当d呏5(mod8)时,2在K中惯性。
(3)二次域K 的单位根群记为WK。当
时,
;当
时,
。而对于所有其他的二次域K,则WK={±1}。
(4)二次域K的单位群 UK,指的是整数环 OK中乘法可逆元全体。当 K为虚二次域时,UK=WK,而对于实二次域 K,存在一个单位 ε>1(称为 K的基本单位),使得
(5)二次域
的(理想)类数hK也有简单的表达式:当d≤-5时,
(对于d=-1和-3,熟知hK=1);当d>0时,
式中D=|d(K)|;ε为基本单位;ln表自然对数;ⅹD是模D(惟一的)实本原特征。
1801年,C.F.高斯发表了他在20岁时所写的数论著作《算术研究》,展现了他的一个杰出的思想,即把有理数域和有理整数环上的许多初等数论问题,放到更大的域和环──二次域和它的(代数)整数环上来研究。他在这些方面的工作,是研究二次域的开端,也是代数数论的一个源头。
二次域有许多研究课题,其中最著名的是高斯关于类数问题的两个猜想:
(1)只有有限多个类数为1的虚二次域;
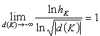
(2)存在着无限多个类数为1的实二次域。关于第一个猜想,1934年,H.海布雷恩证明了当d(K)→
时,hK→
。1935年C.L.西格尔进一步证明了
。A.贝克于1966年和H.M.斯塔尔克于1967年各自独立地证明了类数为1的虚二次域
只有9个:d=1,2,3,7,11,19,43,67,163。至于第二个猜想,则至今仍未解决。
- 参考书目
- D. B. Zagier,Zetaƒunktionen und Quadratische Krper,Springer-Verlag, Berlin, 1981.